Magna Concursos

Foram encontradas 50 questões.

1401125 Ano: 2010
Disciplina: Estatística
Banca: UFRGS
Orgão: UFRGS
Provas:

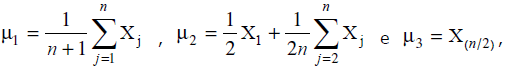
Seja X1,...,Xn uma amostra aleatória de uma população com média S e variância !$ \sigma_2 !$. Considere os três estimadores para a média:

Enunciado 1401125-1

onde X(k) corresponde a k-ésima estatística de ordem. Então, pode-se afirmar que

 

Provas

Questão presente nas seguintes provas
1401099 Ano: 2010
Disciplina: Estatística
Banca: UFRGS
Orgão: UFRGS
Provas:

A multicolinearidade em regressão linear múltipla significa

 

Provas

Questão presente nas seguintes provas
1396422 Ano: 2010
Disciplina: Português
Banca: UFRGS
Orgão: UFRGS
Instrução: A questão refere-se ao texto abaixo.
As lições da dengue
Não é preciso passar mais do que algumas horas no Rio de Janeiro para se constatar: o pavor da dengue tomou conta das pessoas. O assunto está em todos os jornais, em todos os noticiários de rádio e de tevê, em todas as bocas. O movimento dos hotéis caiu muito, o que, numa cidade que tem no turismo uma importante fonte de renda, é um desastre. Claro, quem precisa ir ao Rio vai de qualquer modo, tomando todas as precauções possíveis. Faz algumas semanas, dei uma palestra numa instituição popular localizada numa antiga fábrica, na zona portuária do Rio: tão logo cheguei, fui atacado por uma feroz onda de mosquitos. Felizmente eu estava protegido; uso tanto repelente, que, no hotel, nem os garçons chegavam perto, mas esta situação, convenhamos, não é das mais agradáveis e está acabando com a paciência dos cariocas. Na seção de cartas de O Globo, na quinta passada, havia 21 mensagens; 18 falavam de dengue. E todas se queixavam das autoridades. Por bons motivos. O recente bate-boca protagonizado pelos responsáveis pelos serviços de saúde foi uma coisa muito triste.
Existem duas frases que o administrador público não pode dizer. A primeira: "Isto não é comigo". Sim, existe uma divisão de tarefas. Mas as pessoas não têm obrigação de conhecer organogramas; e, quando estão desesperadas, não querem saber de organogramas. Qualquer repartição, qualquer servidor, tem de servir como porta de entrada para o sistema que, ao menos teoricamente, vai proporcionar atendimento. Na prática, isto significa dizer: "Eu vou encaminhá-lo para o atendimento". E aí encaminhar mesmo: pegar o telefone, fazer o contato, instruir a pessoa acerca de como proceder.
A segunda frase a ser evitada é: "Isto é culpa de X" (no lugar deste X vocês podem colocar um órgão, um serviço, o ocupante de um cargo público). No Rio, a troca de acusações enfureceu as pessoas. Perguntava uma leitora: "Até quando prefeito e governador continuarão jogando a culpa um no outro pela epidemia de dengue?" Os políticos não se dão conta de que nesta briga não há vencedores, que é uma conduta suicida. Neste sentido, a idéia de um "gabinete de crise" reunindo no Rio os níveis federal, estadual e municipal foi uma coisa sensata.
As epidemias expõem as entranhas do país, mostram de forma implacável os problemas que não foram resolvidos. Este serviço pelo menos os micróbios, que sabem aproveitar qualquer oportunidade, prestam. Não seria mau aprender com eles.
Adaptado de: SCLIAR, Moacyr. In Zero Hora, 01 de abril de 2008.
Considere as afirmativas abaixo a respeito do texto.
I - O autor deixa claro que é indispensável que a população seja esclarecida sobre o risco de epidemias e as formas de evitá-las.
II - O caos da saúde pública no Rio de Janeiro é, conforme o texto, consequência do desarranjo entre as diferentes esferas do poder no país.
III - De acordo com o autor, cabe obrigatoriamente aos governos acolher quem recorre aos seus serviços e orientá-lo na busca de satisfação de suas necessidades.
Quais estão corretas?
 

Provas

Questão presente nas seguintes provas
1395460 Ano: 2010
Disciplina: Português
Banca: UFRGS
Orgão: UFRGS
Instrução: Na questão, assinale a alternativa que completa, correta e respectivamente, as lacunas da frase.
É a dona da companhia que faz ________ vezes de bilheteiro quando necessário, e é ______ ela, ______ cuja autoridade todos obedecem, que os atores recorrem quase sempre.
 

Provas

Questão presente nas seguintes provas
1394187 Ano: 2010
Disciplina: Estatística
Banca: UFRGS
Orgão: UFRGS
Provas:

Considere o circuito abaixo.

Enunciado 1394187-1

A probabilidade de fechar cada chave no circuito é p. Se todas as chaves funcionam independentemente, qual a probabilidade de passar corrente entre os terminais A e B?

 

Provas

Questão presente nas seguintes provas
Considere as afirmações abaixo com relação ao Regimento Geral da UFRGS.
I - De ato ou decisão de autoridade ou órgão da Universidade cabe, por iniciativa do interessado, pedido de reconsideração, fundamentado na alegação de não consideração de elementos passíveis de exame quando da decisão.
II - O pedido de reconsideração deverá ser interposto no prazo de 30 (trinta) dias contados a partir da data de ciência pessoal do ato ou decisão, de sua divulgação oficial por edital afixado em local público e visível ou de publicação em órgão de comunicação interno ou externo à Universidade.
III - Os atos ou decisões de autoridade ou órgão da Universidade, por suas características intrínsecas, são irrecorríveis.
Quais estão corretas?
 

Provas

Questão presente nas seguintes provas
1392699 Ano: 2010
Disciplina: Português
Banca: UFRGS
Orgão: UFRGS
Instrução: Na questão, assinale a alternativa que completa, correta e respectivamente, as lacunas da frase.
A mocinha, embora _____________ atordoada, fazia questão de afirmar que estava _____________ com a biblioteca desde _____ 16 h.
 

Provas

Questão presente nas seguintes provas
1391112 Ano: 2010
Disciplina: Português
Banca: UFRGS
Orgão: UFRGS
Instrução: A questão refere-se ao texto abaixo.
As lições da dengue
Não é preciso passar mais do que algumas horas no Rio de Janeiro para se constatar: o pavor da dengue tomou conta das pessoas. O assunto está em todos os jornais, em todos os noticiários de rádio e de tevê, em todas as bocas. O movimento dos hotéis caiu muito, o que, numa cidade que tem no turismo uma importante fonte de renda, é um desastre. Claro, quem precisa ir ao Rio vai de qualquer modo, tomando todas as precauções possíveis. __________ algumas semanas, dei uma palestra numa instituição popular localizada numa antiga fábrica, na zona portuária do Rio: tão logo cheguei, fui atacado por uma feroz onda de mosquitos. Felizmente eu estava protegido; uso tanto repelente, que, no hotel, nem os garçons chegavam perto, mas esta situação, convenhamos, não é das mais agradáveis e está acabando com a paciência dos cariocas. Na ________ de cartas de O Globo, na quinta passada, __________ 21 mensagens; 18 falavam de dengue. E todas se queixavam das autoridades. Por bons motivos. O recente bate-boca protagonizado pelos responsáveis pelos serviços de saúde foi uma coisa muito triste.
Existem duas frases que o administrador público não pode dizer. A primeira: "Isto não é comigo". Sim, existe uma divisão de tarefas. Mas as pessoas não têm obrigação de conhecer organogramas; e, quando estão desesperadas, não querem saber de organogramas. Qualquer repartição, qualquer servidor, tem de servir como porta de entrada para o sistema que, ao menos teoricamente, vai proporcionar atendimento. Na prática, isto significa dizer: "Eu vou encaminhá-lo para o atendimento". E aí encaminhar mesmo: pegar o telefone, fazer o contato, instruir a pessoa acerca de como proceder.
A segunda frase a ser evitada é: "Isto é culpa de X" (no lugar deste X vocês podem colocar um órgão, um serviço, o ocupante de um cargo público). No Rio, a troca de acusações enfureceu as pessoas. Perguntava uma leitora: "Até quando prefeito e governador continuarão jogando a culpa um no outro pela epidemia de dengue?" Os políticos não se dão conta de que nesta briga não há vencedores, que é uma conduta suicida. Neste sentido, a idéia de um "gabinete de crise" reunindo no Rio os níveis federal, estadual e municipal foi uma coisa sensata.
As epidemias expõem as entranhas do país, mostram de forma implacável os problemas que não foram resolvidos. Este serviço pelo menos os micróbios, que sabem aproveitar qualquer oportunidade, prestam. Não seria mau aprender com eles.
Adaptado de: SCLIAR, Moacyr. In Zero Hora, 01 de abril de 2008.
Assinale a alternativa que completa, correta e respectivamente, as lacunas das linhas.
 

Provas

Questão presente nas seguintes provas
1388401 Ano: 2010
Disciplina: Estatística
Banca: UFRGS
Orgão: UFRGS
Provas:

Para realizar uma estimativa por meio de uma amostra aleatória, o pesquisador calcula o tamanho da amostra com um nível de confiança e erro máximo de estimação selecionados a priori. Na estimação por intervalo de confiança, essas escolhas implicam que

 

Provas

Questão presente nas seguintes provas
1388127 Ano: 2010
Disciplina: Estatística
Banca: UFRGS
Orgão: UFRGS
Provas:

Em estudos de regressão linear simples, os coeficientes estimados referem-se à intersecção e à inclinação. Esses coeficientes são expressos, respectivamente, em

 

Provas

Questão presente nas seguintes provas