Foram encontradas 60 questões.
O gráfico 1 apresenta a morfologia de timócitos controle e o gráfico 2 mostra timócitos tratados com ATP extracelular. Esse tratamento induziu permeabilização na membrana plasmática dos eventos que compõem a população “A”, que parecem menores em relação ao controle. Considerando que, por microscopia de luz, essas células permeabilizadas são maiores do que as células do grupo controle, podemos afirmar que:

Provas
Marque a única combinação de fluorocromos hipotéticos que pode ser utilizada em um citômetro de fluxo que tem apenas o laser azul. A configuração ótica de detecção do citômetro a ser utilizado é: FL1 530/30; FL2 585/45; FL3 670LP. A linha tracejada indica o espectro de excitação e a linha contínua indica o espectro de emissão de cada fluorocromo.

Provas
Sobre a análise de morte celular por citometria de fluxo e o uso de marcação com anexina-V fluorescente, podemos afirmar que:
Provas
Marque a opção correta no que diz respeito à compensação de fluorescências em marcações para citometria de fluxo.
Provas
Os resultados óticos obtidos por citometria de fluxo podem ser processados e exibidos como escalas em área (A), largura (W) ou pico (H) de sinal. Com relação a essa afirmativa, é correto afirmar que:
Provas
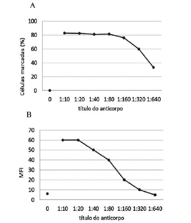
Considere as curvas a seguir referentes à titulação de um anticorpo e marque a alternativa correta. A curva A representa o percentual de células positivas para o marcador; a curva B representa o valor de MFI (baseado na mediana) e 0 representa o controle negativo da marcação.

Provas
Identifique a sequência de filtros que permitirá que a fluorescência emitida pela marcação chegue ao detector (PMT).

Provas
“É extremamente importante o efeito do princípio da legalidade no que diz respeito aos direitos dos indivíduos. Na verdade, o princípio se reflete na consequência de que a própria garantia desses direitos depende de sua existência, autorizando-se então os indivíduos à verificação do confronto entre a atividade administrativa e a lei. Uma conclusão é inarredável: havendo dissonância entre a conduta e a lei, deverá aquela ser corrigida para eliminar-se a ilicitude.” (CARVALHO FILHO, 2009, p. 19)
Sobre o princípio constitucional da legalidade, é INCORRETO afirmar que:
Provas
“A relevância dos direitos fundamentais entre nós pode ser sentida pela leitura do preâmbulo da atual Constituição. Ali se proclama que a Assembleia Constituinte teve como inspiração básica dos seus trabalhos o propósito de instituir um Estado Democrático, destinado a assegurar o exercício dos direitos sociais e individuais, a liberdade, a segurança.” (BRANCO, 2009, p. 265) Sobre os direitos e garantias fundamentais consagrados na Constituição Federal de 1988, é correto afirmar que:
Provas
De acordo com a Lei 8.112/1990, o processo disciplinar é o instrumento destinado a apurar responsabilidade de servidor por infração praticada no exercício de suas atribuições, ou que tenha relação com as atribuições do cargo em que se encontre investido. Sobre a revisão do processo disciplinar, nos termos da referida Lei, é INCORRETO afirmar que:
Provas
Caderno Container