Foram encontradas 910 questões.
Manutenção é o conjunto de ações destinadas a manter ou recolocar um item no estado em que seja possível realizar sua função requerida. Considere as seguintes afirmativas relacionadas à manutenção elétrica.
I Conceito utilizado em manutenção, a capabilidade é a capacidade de um item desempenhar uma função requerida sob dadas condições de uso e manutenção, até que um estado limite seja alcançado.
II O ensaio de rigidez dielétrica permite constatar os efeitos da presença de água livre ou partículas sólidas no óleo de um transformador, os quais comprometem sua capacidade de isolação.
III A luva isolante de borracha Classe 2 utilizada em serviços em eletricidade, quando ensaiada com corrente alternada, deverá apresentar tensão máxima de uso 30 kV e tensão de prova 40 kV.
IV As forças eletromecânicas que aparecem nas proximidades da superfície de um contato elétrico tendem a separar os contatos e a aumentar a resistência ôhmica deles.
Das afirmativas, estão corretas
Provas
Em uma subestação de um consumidor comercial, o transformador trifásico de 750 kVA, tensão primária de 13.800 V e tensões secundárias de 380/220 V, está instalado conforme diagrama unifilar reproduzido abaixo.

Nesse diagrama, CS é uma chave seccionadora e F um fusível limitador de corrente tipo HH. Considerando-se !$ \sqrt{3} !$ = 1,73, a corrente nominal do fusível limitador de corrente tipo HH será escolhida baseando-se na corrente de valor
Provas
Nas imagens abaixo, a figura representa as resistências elementares que compõem a resistência de aterramento e a tabela apresenta os valores dos potenciais ao longo de um solo homogêneo (!$ ρ !$ constante) quando uma corrente I igual a 6 A sai do eletrodo de aterramento para o solo.

| RESISTÊNCIA ELEMENTAR | POTENCIAL |
| R1 | 14,1 V |
| R2 | 6,4 V |
| R3 | 5,2 V |
| R4 | 3,5 V |
| R5 | 1,8 V |
O valor total da resistência de aterramento é, aproximadamente,
Provas
Os sistemas elétricos de potência têm as funções de produzir energia elétrica a partir de uma fonte primária, transmitir e distribuir essa energia para atender aos consumidores com a qualidade adequada. Considere as afirmativas abaixo relacionadas aos sistemas elétricos de potência.
I O curto-circuito trifásico é uma falta assimétrica, porque as correntes e/ou tensões têm módulos diferentes e estão defasadas 30º.
II Em um sistema efetivamente aterrado, a relação entre a resistência de sequência zero e a reatância de sequência positiva é maior do que 1.
III Duração Equivalente de Interrupção por Unidade Consumidora (DEC) é o intervalo de tempo que, em média, no período de apuração, em cada unidade consumidora do conjunto considerado, ocorreu descontinuidade da distribuição de energia elétrica.
IV A transposição de condutores numa linha aérea de transmissão visa a restaurar o equilíbrio das tensões e correntes nos terminais da linha para a frequência fundamental.
Das afirmativas, estão corretas
Provas
Em uma indústria têxtil formada por três prédios de produção, deve-se escolher, por meio de cálculo, o baricentro ou centro da carga para a localização da subestação em relação às cargas, de forma a reduzir os custos de instalação e de funcionamento. Essa indústria é alimentada em média tensão conforme a figura reproduzida abaixo.

Para o cálculo do baricentro, supõe-se que as cargas estejam concentradas no centro de cada prédio e têm coordenadas x e y, conforme a tabela abaixo.
| PRÉDIO | POTÊNCIA (KVA) | x (m) | y (m) |
| 1 | 60 | 130 | 230 |
| 2 | 150 | 320 | 210 |
| 3 | 100 | 270 | 60 |
O baricentro de carga dessa indústria, que é o ponto mais adequado para a construção da subestação, tem coordenadas X e Y, respectivamente,
Provas
Um circuito trifásico (R-S-T-N) alimenta vários computadores e equipamentos de tecnologia da informação, os quais são cargas geradoras de terceiras harmônicas. Medições realizadas nos condutores de fase desse circuito apresentaram correntes máximas com os valores encontrados na tabela abaixo.
| PARÂMETRO | VALOR MEDIDO |
| Corrente Fundamental | 93 A |
| Corrente harmônica de 3ª ordem | 64 A |
|
Corrente harmônica de 5ª ordem |
36 A |
A corrente de projeto a ser considerada no dimensionamento da seção dos condutores desse circuito e a taxa de distorção da terceira harmônica (THD3) serão, aproximadamente,
Provas
A energia solar fotovoltaica vem se destacando pelo rápido crescimento na matriz elétrica brasileira, com uma participação maior da geração distribuída, a qual é a instalação de sistemas solares fotovoltaicos por consumidores de energia elétrica. Considere as afirmativas abaixo relacionadas à energia solar fotovoltaica.
I Os cabos que ficam no lado de corrente contínua de uma instalação fotovoltaica devem atender aos seguintes requisitos: a isolação e a cobertura devem ser constituídas de composto termofixo não halogenado, eles devem ser resistentes à radiação ultravioleta quando expostos ao tempo e o condutor deve ser de cobre estanhado.
II Conforme a norma ABNT NBR 16690: 2019, para um arranjo fotovoltaico que contém apenas uma série fotovoltaica com proteção contra sobrecorrente, a corrente de projeto é 1,5 vezes a corrente de curto-circuito de um módulo fotovoltaico.
III Para reduzir a magnitude de sobretensões induzidas, originadas por descargas atmosféricas, os condutores do arranjo fotovoltaico devem ser dispostos de tal maneira que a área de laços de condutores seja mínima.
IV Como medida de proteção contra choques elétricos, deve-se aterrar diretamente os condutores positivo e negativo do sistema fotovoltaico.
Das afirmativas, estão corretas
Provas
Deseja-se dimensionar um sistema solar fotovoltaico conectado à rede elétrica para atender às necessidades de energia elétrica de uma residência. O consumo médio diário obtido do histórico das contas de energia elétrica é 14,20 kWh/dia, a Taxa de Desempenho, 80%, a média diária anual das horas de sol pleno incidente no painel fotovoltaico, 5 horas/dia e o Fator de Dimensionamento de Inversores, 0,8. Com base nesses dados, a potência de pico do sistema solar fotovoltaico e a potência nominal C.A. do inversor devem ser, respectivamente,
Provas
Para a avaliação do custo homem x hora (H.h) de uma equipe de construção, deve-se estimar o número total de homem x hora que pode ser realizado mensalmente por essa equipe. Adotando 272 dias úteis por ano, uma equipe formada por 8 homens trabalhando 8 h/dia e com 20% de hora extra terá uma produção mensal de
Provas
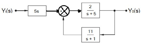
No laboratório de controle de processos de uma instituição de ensino, um estudante de engenharia elétrica realiza aula prática utilizando sistemas de controle. O estudante deverá analisar o sistema de controle reproduzido na figura abaixo.

Após análise do sistema, os zeros da função de transferência desse sistema de controle valem
Provas
Caderno Container