Foram encontradas 443 questões.
A respeito do gerenciamento de memória em computadores, assinale a alternativa CORRETA.
Provas
Questão presente nas seguintes provas
1336229
Ano: 2009
Disciplina: TI - Organização e Arquitetura dos Computadores
Banca: UFSC
Orgão: UFSC
Disciplina: TI - Organização e Arquitetura dos Computadores
Banca: UFSC
Orgão: UFSC
Provas:
A respeito da tecnologia RAID, assinale a alternativa CORRETA.
Provas
Questão presente nas seguintes provas
Assinale a alternativa que completa CORRETAMENTE as lacunas da seguinte frase:
Um _________________ Ethernet que atua na ___________ decide se um ___________ será transmitido de uma porta para outra analisando o ___________ do destinatário.
Provas
Questão presente nas seguintes provas
A respeito do protocolo IP (Internet Protocol), é CORRETO afirmar que:
Provas
Questão presente nas seguintes provas
Considere as seguintes afirmativas relativas ao protocolo DHCP.
I. O protocolo não permite que um determinado computador receba sempre o mesmo endereço IP.
II. O protocolo utiliza o modelo cliente-servidor para gerenciar endereços IP.
III. O protocolo para IPv6, embora já esteja sendo usado, ainda não foi padronizado.
Com base nas afirmativas acima, assinale a alternativa CORRETA.
Provas
Questão presente nas seguintes provas
Considere o diagrama Entidade-Relacionamento (ER) a seguir. Atributos sublinhados indicam os identificadores das entidades. A interpretação do relacionamento “Tipo”, por exemplo, denota que todo DVD possui uma categoria e que uma categoria pode estar associada a vários DVDs.

Assinale a alternativa CORRETA, que apresenta um mapeamento válido do diagrama ER para tabelas relacionais, considerando atributos sublinhados como sendo a chave primária e cada atributo em itálico como sendo uma chave estrangeira.
Provas
Questão presente nas seguintes provas
Considere as tabelas Clientes(codigoCliente, nome, foneContato, endereco) e DVDs(codigoDVD, titulo, duracao, locadoPara, categoria), sendo codigoCliente a chave primária de Clientes, codigoDVD a chave primária de DVDs e locadoPara em DVDs uma chave estrangeira que faz referência à tabela Clientes. Considere também a seguinte consulta SQL.
SELECT c.nome, COUNT(d.codigoDVD) AS QtdeLocada
FROM Clientes c, DVDs d
WHERE c.codigoCliente = d.locadoPara
AND d.categoria = "drama"
GROUP BY c.codigoCliente, c.nome
HAVING COUNT(d.codigoDVD) > 1
Sobre esta consulta, é CORRETO afirmar que:
Provas
Questão presente nas seguintes provas
- Conceitos e FundamentosConceitos Fundamentais de Banco de Dados
- Banco de Dados RelacionalTipos de ChavesChave Estrangeira
- Banco de Dados RelacionalTipos de ChavesChave Primária
Sobre o modelo relacional de Banco de Dados, é CORRETO afirmar que:
Provas
Questão presente nas seguintes provas
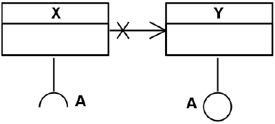
Considere uma aplicação hipotética composta exclusivamente por duas classes, X e Y, e por uma interface, A, conforme modelado no diagrama abaixo.

Identifique se são verdadeiras (V) ou falsas (F) as afirmativas abaixo com relação à aplicação acima modelada.
( ) A classe X necessariamente implementa os métodos declarados na interface A.
( ) A classe Y necessariamente implementa os métodos declarados na interface A.
( ) Instância da classe X invoca métodos declarados na interface A.
( ) Instância da classe Y invoca métodos declarados na interface A.
( ) Instância da classe X invoca métodos de instância da classe Y.
( ) Instância da classe Y invoca métodos de instância da classe X.
( ) É possível que instâncias das duas classes invoquem métodos declarados na interface A.
Assinale a alternativa que apresenta a sequência CORRETA, de cima para baixo.
Provas
Questão presente nas seguintes provas
Considere as seguintes afirmativas a respeito da modelagem com diagrama de casos de uso da linguagem UML.
I. Há correspondência entre os casos de uso e os requisitos funcionais estabelecidos para o software.
II. Há correspondência entre os casos de uso e todos os requisitos estabelecidos para o software.
III. Um usuário humano que interaja com o programa sob modelagem é representado por um ator.
IV. Outro programa que interaja com o programa sob modelagem é representado por um ator anômalo.
Assinale a alternativa CORRETA.
Provas
Questão presente nas seguintes provas
Cadernos
Caderno Container