Foram encontradas 60 questões.
A inclinação da cobertura de um telhado deve ser definida durante a fase de projeto de uma obra, pois previne o acúmulo de água da chuva sobre o telhado. A inclinação pode ser expressa por meio de um ângulo (∝). A figura abaixo ilustra esta situação,
onde:
∝ é a inclinação do telhado
h é a altura do telhado
B é a medida da base do telhado

Considerando !$ \sqrt{3} \cong 1,7 !$ e sabendo que a inclinação do telhado deve ser de 30 graus (30º) e sua base deve ter 6 metros de comprimento, a altura do telhado será aproximadamente igual a:
Provas
Por uma questão de segurança, um técnico em edificações observou a necessidade de ligar a ponta de um poste de 12 metros de altura a um gancho no chão. O poste é perpendicular ao chão. Quando esticado, o cabo de aço deverá fazer um ângulo de quarenta e cinco graus (45º) com o chão. Nessas condições, o comprimento do cabo será aproximadamente igual a:
Provas
Gilberto é funcionário de uma empresa de construção civil. Ele observou que 6 pintores pintam uma área de 300 m2 em 2 horas. Quantos pintores, trabalhando no mesmo ritmo que os outros, são necessários para pintar uma área de 400 m2 em 1 hora?
Provas
Marcos trabalha no laboratório de uma indústria. Ele recebeu a tarefa de reduzir a vazão de um tipo de torneira que possui sensor de presença. Inicialmente, ele observou que uma torneira, com uma vazão de 15 litros por minuto, enchia um reservatório em 20 segundos. A vazão desta torneira deverá ser reduzida para 5 litros por minuto. Assim, ela deverá encher o mesmo reservatório em:
Provas
A razão entre o número de habitantes e a área da região ocupada por eles é chamada de densidade demográfica. Segundo o Instituto Brasileiro de Geografia e Estatística (IBGE), no ano 2010 a população brasileira era aproximadamente igual a 190.700.000 habitantes. Considerando que a área territorial do Brasil é de cerca de 8.500.000 km2, a densidade demográfica brasileira naquele ano era aproximadamente igual a:
Provas
Um terreno tem a forma de um trapézio de bases medindo 36 m e 24 m, com altura de 20 m, conforme figura abaixo:

Será construído no local um galpão retangular medindo 10,6 m e 5,5 m. No restante do terreno será plantada grama. A área destinada ao plantio de grama é igual a:
Provas
O equipamento óptico sobre uma base na forma de tripé, muito utilizado na construção civil e agrimensura para medição de posições relativas, medidas indiretas de grandes distâncias, alturas e curvas de nível é conhecido como:
Provas
Sobre fundações profundas do tipo tubulão, é incorreto afirmar que:
Provas
O cimento Portland de alta resistência inicial é conhecido como:
Provas
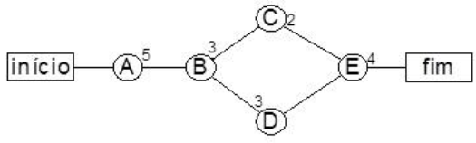
De acordo com a tabela e o diagrama PERT da figura a seguir, qual alternativa indica o tempo total da obra e o caminho crítico, respectivamente?
| Atividades | Duração em Dias | Atividade Precedente |
| A | 5 | ---- |
| B | 3 | A |
| C | 2 | B |
| D | 3 | B |
| E | 4 | C – D |

Provas
Caderno Container