Foram encontradas 50 questões.
Durante a análise de um sistema, foram observados diversos problemas de usabilidade que impactam negativamente a experiência do usuário. Entre os problemas identificados, destacam-se:
1 - Os usuários frequentemente relatam dificuldade para encontrar funcionalidades importantes, devido a menus pouco claros e labels ambíguos.
2 - Quando ocorre um erro, o sistema apresenta mensagens genéricas, que não ajudam o usuário a compreender o problema ou a corrigi-lo.
3 - Diferentes telas apresentam estilos de botões, cores e nomenclaturas distintos, gerando confusão.
4 - Algumas telas exibem muitos elementos ao mesmo tempo, tornando difícil a identificação do que é prioritário.
5 - Ações importantes não geram feedback imediato, deixando o usuário incerto sobre o resultado da operação.
Assinale a alternativa que relaciona corretamente os problemas listados à respectiva heurística de Nielsen violada.
1 - Os usuários frequentemente relatam dificuldade para encontrar funcionalidades importantes, devido a menus pouco claros e labels ambíguos.
2 - Quando ocorre um erro, o sistema apresenta mensagens genéricas, que não ajudam o usuário a compreender o problema ou a corrigi-lo.
3 - Diferentes telas apresentam estilos de botões, cores e nomenclaturas distintos, gerando confusão.
4 - Algumas telas exibem muitos elementos ao mesmo tempo, tornando difícil a identificação do que é prioritário.
5 - Ações importantes não geram feedback imediato, deixando o usuário incerto sobre o resultado da operação.
Assinale a alternativa que relaciona corretamente os problemas listados à respectiva heurística de Nielsen violada.
Provas
Questão presente nas seguintes provas
“Um banco de dados em geral tem muitos usuários, cada um podendo exigir um ponto de vista
ou visão diferente do banco de dados. Uma visão
(ou view) pode ser um subconjunto do banco de
dados ou conter dado virtual que é derivado dos
arquivos do banco de dados, mas não estão armazenados explicitamente.”
Fonte: ELMASRI, R; NAVATHE, S. B. Sistema de Banco de Dados. 6. ed. São Paulo: Pearson Addison Wesley, 2011. p. 8.
Sobre visões em banco de dados, assinale V (verdadeiro) ou F (falso) em cada afirmativa a seguir.
( ) O usuário não proprietário da tabela que possui autorização para fazer operações de seleção na tabela automaticamente possui autorização para realizar operações de projeção em visões criadas a partir da tabela.
( ) Visões, em banco de dados, são criadas para diminuir a complexidade das consultas no banco.
( ) Visões podem ser combinadas entre si para obter resultados ou outras visões.
A sequência correta é
Fonte: ELMASRI, R; NAVATHE, S. B. Sistema de Banco de Dados. 6. ed. São Paulo: Pearson Addison Wesley, 2011. p. 8.
Sobre visões em banco de dados, assinale V (verdadeiro) ou F (falso) em cada afirmativa a seguir.
( ) O usuário não proprietário da tabela que possui autorização para fazer operações de seleção na tabela automaticamente possui autorização para realizar operações de projeção em visões criadas a partir da tabela.
( ) Visões, em banco de dados, são criadas para diminuir a complexidade das consultas no banco.
( ) Visões podem ser combinadas entre si para obter resultados ou outras visões.
A sequência correta é
Provas
Questão presente nas seguintes provas
A norma ISO/IEC 27005:2019 apresenta um processo
de gestão de riscos de segurança da informação.
Com base nessa norma, considere as afirmativas a seguir.
I → O processo de avaliação de riscos compreende a identificação, a análise e a avaliação de riscos.
II → O ciclo de vida da gestão de riscos de segurança da informação é iterativo, desenvolvendo-se a gestão de maneira incremental, através de uma sucessão de iterações, e cada iteração libera uma entrega (saída) para a seguinte, minimizando tempo e esforço.
III → A análise quantitativa utiliza uma escala de valores numéricos com o objetivo de tentar calcular valores numéricos para cada um dos componentes coletados durante as atividades de identificação de riscos. Devido à sua importância, deve ser realizada antes da análise qualitativa.
IV → Ameaça é qualquer fraqueza que possa ser explorada para comprometer a segurança de sistemas ou informações.
Estão corretas
Com base nessa norma, considere as afirmativas a seguir.
I → O processo de avaliação de riscos compreende a identificação, a análise e a avaliação de riscos.
II → O ciclo de vida da gestão de riscos de segurança da informação é iterativo, desenvolvendo-se a gestão de maneira incremental, através de uma sucessão de iterações, e cada iteração libera uma entrega (saída) para a seguinte, minimizando tempo e esforço.
III → A análise quantitativa utiliza uma escala de valores numéricos com o objetivo de tentar calcular valores numéricos para cada um dos componentes coletados durante as atividades de identificação de riscos. Devido à sua importância, deve ser realizada antes da análise qualitativa.
IV → Ameaça é qualquer fraqueza que possa ser explorada para comprometer a segurança de sistemas ou informações.
Estão corretas
Provas
Questão presente nas seguintes provas
A normalização de dados é uma tarefa comum antes da implementação de uma IA ou algoritmo de Machine
Learning. É por meio da normalização que se garante uma mesma escala entre os dados, comumente entre
0 e 1 ou –1 e 1.
Sendo X o vetor de dados originais, e X' o vetor de dados normalizados, assinale a alternativa que descreve corretamente uma normalização válida.
Sendo X o vetor de dados originais, e X' o vetor de dados normalizados, assinale a alternativa que descreve corretamente uma normalização válida.
Provas
Questão presente nas seguintes provas
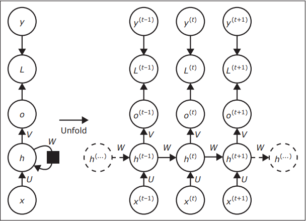
A figura mostra uma arquitetura de Rede Neural ________________, em que U, W e V são ________________.

Fonte: GOODFELLOW et al. Deep Leaning. MIT press, 2016 (p. 378). (Adaptado)
Assinale a alternativa que completa corretamente as lacunas.
Provas
Questão presente nas seguintes provas
Observe a seguinte consulta escrita em Linguagem de Consulta Estruturada (SQL - Structured Query Language).
SELECT cl.Nome, cid.Nome
FROM Cliente cl, Cidade cid
WHERE cl.Cod_Cidade = cid.Cod_Cidade and
cl.Data_Nasc = (SELECT min(data_nasc)
FROM cliente cl2
WHERE cl2.cod_cidade = cl.Cod_Cidade);
Assinale a alternativa que identifica corretamente os resultados retornados pela consulta.
SELECT cl.Nome, cid.Nome
FROM Cliente cl, Cidade cid
WHERE cl.Cod_Cidade = cid.Cod_Cidade and
cl.Data_Nasc = (SELECT min(data_nasc)
FROM cliente cl2
WHERE cl2.cod_cidade = cl.Cod_Cidade);
Assinale a alternativa que identifica corretamente os resultados retornados pela consulta.
Provas
Questão presente nas seguintes provas
A Universidade X está integrando uma árvore de decisão, baseada em entropia, para prever a evasão dos
alunos. Em um cenário de testes, o número de reprovações se mostrou um atributo importante. Para tal,
criou-se a árvore, conforme a figura.
Considerando o nó inicial e seus filhos, assinale a alternativa correta quanto ao resultado que reflete a equação do ganho.
Considerando o nó inicial e seus filhos, assinale a alternativa correta quanto ao resultado que reflete a equação do ganho.
Provas
Questão presente nas seguintes provas
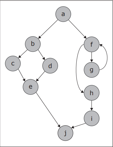
Complexidade ciclomática é uma métrica de
software, fundamentada na teoria dos grafos, que
fornece uma medida quantitativa da complexidade
lógica de um programa.
Com base no grafo apresentado, assinale a alternativa que indica a complexidade ciclomática correta.
Com base no grafo apresentado, assinale a alternativa que indica a complexidade ciclomática correta.
Provas
Questão presente nas seguintes provas
A modelagem de processos de negócio consiste em estudar e entender a organização e seus processos e
ajuda na compreensão dos requisitos do sistema, pois possibilita que os stakeholders compartilhem um
entendimento consistente sobre os processos de negócio da organização, sendo a Business Process Model
and Notation (BPMN) uma referência para modelagem desse tipo de processo.
Com base no diagrama representado na figura, modelado usando BPMN, assinale V (verdadeiro) ou F (falso) em cada afirmativa a seguir.
( ) A avaliação dos critérios socioeconômicos ocorre antes da avaliação dos critérios acadêmicos.
( ) O aluno é notificado sobre a solicitação de bolsa ao final do processo.
( ) Os dados dos alunos são validados antes de serem encaminhados para a avaliação dos demais critérios.
A sequência correta é
Com base no diagrama representado na figura, modelado usando BPMN, assinale V (verdadeiro) ou F (falso) em cada afirmativa a seguir.
( ) A avaliação dos critérios socioeconômicos ocorre antes da avaliação dos critérios acadêmicos.
( ) O aluno é notificado sobre a solicitação de bolsa ao final do processo.
( ) Os dados dos alunos são validados antes de serem encaminhados para a avaliação dos demais critérios.
A sequência correta é
Provas
Questão presente nas seguintes provas
O curso X precisa garantir que uma disciplina Xa tenha como co-requisito (disciplinas que precisam ser cursadas
em conjunto) as disciplinas Xb e Xc
. As matrículas do curso X são salvas no vetor matriculas_X, em que cada
elemento do vetor é marcado como 1, caso o aluno esteja matriculado.
Supondo que as variáveis Ia, Ib e Ic guardam os índices referentes às disciplinas Xa, Xb e Xc , respectivamente, e considerando o Python versão 3, qual trecho de código verifica corretamente se é possível se matricular em Xa?
Supondo que as variáveis Ia, Ib e Ic guardam os índices referentes às disciplinas Xa, Xb e Xc , respectivamente, e considerando o Python versão 3, qual trecho de código verifica corretamente se é possível se matricular em Xa?
Provas
Questão presente nas seguintes provas
Cadernos
Caderno Container