Foram encontradas 241 questões.
Quando uma onda se propaga por águas rasas, isto é, onde a profundidade é menor do que metade do comprimento da onda, sua velocidade de propagação pode ser calculada com a expressão !$ v = \sqrt {g \times h} !$, em que g é a aceleração da gravidade local e h a profundidade das águas na região. Dessa forma, se uma onda passar de uma região com certa profundidade para outra com profundidade diferente, ela sofrerá variação em sua velocidade de propagação, o que caracteriza o fenômeno de refração dessa onda. A figura mostra uma mesma onda propagando-se por uma região de profundidade h1 = 3,6 m com comprimento de onda !$ \lambda 1 = 12 m !$ e, em seguida, propagando-se por uma região de profundidade h2 = 0,9 m com comprimento de onda !$ \lambda_2 !$.

Na situação apresentada, o comprimento de onda !$ \lambda_2 !$ é
Provas
Um objeto linear AB é colocado perpendicularmente ao eixo principal de um espelho esférico convexo, a uma distância d do vértice desse espelho. A figura mostra um raio de luz (R) proveniente da extremidade A do objeto e a imagem A’ desse ponto.

Considerando as dimensões indicadas na figura, a distância d é igual a:
Provas
Determinada peça de platina de 200 g, sensível à temperatura, é mantida dentro de um recipiente protegido por um sistema automático de refrigeração que tem seu acionamento controlado por um sensor térmico. Toda vez que a temperatura da peça atinge 80 ºC, um alarme sonoro soa e o sistema de refrigeração é acionado. Essa peça está dentro do recipiente em equilíbrio térmico com ele a 20 ºC, quando, no instante t = 0, energia térmica começa a fluir para dentro do recipiente e é absorvida pela peça segundo o gráfico a seguir.

Sabendo que o calor específico da platina é 0,03 cal/(g · ºC) e adotando 1 cal = 4J, o alarme sonoro disparará, pela primeira vez, no instante
Provas
Uma pequena esfera é abandonada do repouso no ponto 1 e, após deslizar sem rolar pela pista mostrada em corte na figura, perde contato com ela no ponto 2, passando a se mover em trajetória parabólica, até atingir o solo horizontal.

Adotando g = 10 m/s2, desprezando o atrito e a resistência do ar, quando a esfera passar pelo ponto 3, ponto mais alto de sua trajetória fora da pista, a componente horizontal da velocidade vetorial da esfera terá módulo igual a
Provas
Um garoto gira uma esfera de 500 g ao redor de seu corpo, mantendo o braço esticado na vertical e segurando um fio ideal de comprimento 65 cm, conforme a figura. A esfera gira em uma trajetória circular contida em um plano horizontal de raio de curvatura 60 cm.

Adotando g = 10 m/s2 e desprezando a resistência do ar, a intensidade da força de tração que atua no fio é
Provas
Quando a luz de um semáforo fica verde, um veículo parado parte com aceleração escalar constante, a1, e se move por uma rua retilínea até atingir uma velocidade máxima, Vmáx, em um intervalo de tempo T1. A partir desse instante, inicia um processo de frenagem, também com aceleração escalar constante, até parar novamente, no semáforo seguinte, em um intervalo de tempo T2. O gráfico representa a variação da velocidade desse veículo em função do tempo, nesse movimento.

No trajeto entre os dois semáforos, a velocidade escalar média desse veículo foi de:
Provas
Etanolamina no espaço
Uma equipe internacional e multidisciplinar, envolvendo astrofísicos, astroquímicos e bioquímicos, detectou pela primeira vez no espaço interestelar a substância prebiótica etanolamina.
A etanolamina (NH2CH2CH2OH), uma molécula que contém quatro dos seis elementos químicos essenciais à vida, faz parte dos fosfolipídios, moléculas que compõem as membranas celulares, e pode servir como precursora do aminoácido glicina.
(www.inovacaotecnologica.com.br. Adaptado.)
A fórmula estrutural da glicina está representada a seguir.

A transformação da molécula de etanolamina em glicina envolve uma reação de
Provas
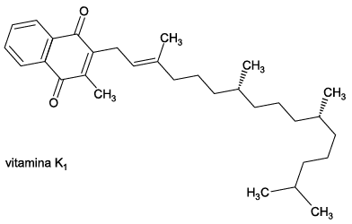
Considere a estrutura da vitamina K1.

Analisando-se a fórmula estrutural da vitamina K1, nota-se que essa vitamina é , apresenta cadeia carbônica , átomo de carbono e apresenta isômeros .
As lacunas do texto são preenchidas respectivamente por:
Provas
Considere os seguintes fenômenos:
1. Formação de um depósito de prata metálica sobre um fio de cobre imerso em uma solução aquosa de nitrato de prata (AgNO3).
2. Formação de água pela reação explosiva entre oxigênio e hidrogênio gasosos.
3. Formação de um precipitado de carbonato de cálcio quando dióxido de carbono é borbulhado em solução aquosa saturada de hidróxido de cálcio.
4. Formação de uma solução límpida quando vinagre é adicionado a uma suspensão opaca de hidróxido de magnésio (leite de magnésia).
Ocorrem reações de oxirredução somente nos fenômenos
Provas
A tabela mostra os valores aproximados de pH de diferentes soluções aquosas, todas com a mesma concentração de 0,1 mol/L e a 25 ºC.
| Solução | pH aproximado |
| Ácido clorídrico | 1 |
| Ácido acético | 3 |
| Sulfato de sódio | 7 |
| Hidróxido de sódio | 13 |
A solução que deve apresentar maior concentração total de íons e a solução que deve apresentar maior concentração de íons H+(aq) são, respectivamente, as soluções de
Provas
Caderno Container