Foram encontradas 50 questões.
O processo de eletrização por atrito é mais comum do que se pode imaginar. Vestir uma blusa de lã ou sintética, andar sobre o carpete ou mesmo pentear os cabelos com uma escova são processos que levam ao aparecimento de cargas elétricas nos corpos carregados. Geralmente, grande parte delas se dissipa nas partículas de água em suspensão na atmosfera, mas no inverno, quando observamos a baixa umidade do ar, as cargas se acumulam nos corpos e se dissipam rapidamente quando entramos em contato com outros corpos. Um exemplo comum desse fenômeno são os choques que tomamos quando saímos de um carro que estava em movimento. A intensidade do choque varia de acordo com as características físicas e com os fatores externos. Segundo a Associação Brasileira de Medicina e Acidentes no Tráfego (Abramet), pessoas que transpiram muito ficam mais expostas às descargas, pois há mais sais minerais (condutores de eletricidade) na pele. Para diminuir a intensidade do choque, antes de sair do carro podemos segurar alguma parte da lataria e só tirar a mão dali quando o pé estiver no chão.
Em relação ao processo de eletrização por atrito, podemos afirmar que:
Provas
Um relógio de pêndulo foi construído por um grupo de estudantes de física que pretendem ajustá-lo para que as medidas de tempo com esse relógio sejam as mais precisas possíveis. Para o relógio funcionar corretamente, o ponteiro dos segundos deve avançar de 1s a cada oscilação completa do pêndulo. Ao medir o período de oscilação do pêndulo com um cronômetro, os estudantes concluíram que ele demora 2s para completar uma oscilação. Que ajustes deveriam fazer os estudantes para que o período de oscilação do pêndulo e a passagem do ponteiro dos segundos do mostrador do relógio ficassem sincronizados em 1s?
Provas
O texto a seguir fundamenta as questões 28 e 29 As placas fotovoltaicas, ou células fotoelétricas, estão em franca expansão como um meio alternativo de geração de energia elétrica. Dados da Agência Nacional de Energia Elétrica (ANEEL) mostram que o número de microgeradores de energia elétrica de matriz solar cresceu 407% de 2016 para 2017. A figura abaixo mostra o processo de captação de energia proveniente da luz solar e sua utilização como energia elétrica. Sabendo que as placas fotovoltaicas são formadas por placas fabricadas, em sua maioria, com silício e que funcionam baseadas em um fenômeno físico conhecido como Efeito Fotoelétrico, responda as questões 28 e 29.

Um dos fenômenos físicos que possibilitaram a construção de placas solares foi o chamado Efeito Fotoelétrico, observado nos anos finais do século XIX e explicado principalmente por Albert Einstein, o que lhe rendeu o prêmio Nobel de Física no ano de 1921. Esse fenômeno ocorre naturalmente na natureza e diz respeito à produção de corrente elétrica em um circuito a partir da incidência de luz em uma placa ligada ao circuito. Em resumo, o que foi observado nesse fenômeno é que a luz, ao incidir sobre uma placa metálica, ocasionava o aparecimento de uma corrente elétrica antes inexistente no circuito. Segundo seus conhecimentos, essa corrente aparece porque:
Provas
O texto a seguir fundamenta as questões 28 e 29 As placas fotovoltaicas, ou células fotoelétricas, estão em franca expansão como um meio alternativo de geração de energia elétrica. Dados da Agência Nacional de Energia Elétrica (ANEEL) mostram que o número de microgeradores de energia elétrica de matriz solar cresceu 407% de 2016 para 2017. A figura abaixo mostra o processo de captação de energia proveniente da luz solar e sua utilização como energia elétrica. Sabendo que as placas fotovoltaicas são formadas por placas fabricadas, em sua maioria, com silício e que funcionam baseadas em um fenômeno físico conhecido como Efeito Fotoelétrico, responda as questões 28 e 29.

As placas solares mais eficientes do mercado apresentam uma eficiência de produção de energia em torno dos 18%. Sabendo que a incidência solar média do Brasil é de cerca de 5,4 kWh/m², uma placa de 1 m², das mais eficientes existentes no mercado, pode gerar, em média, quantos quilowatt-hora de energia elétrica estando sob 10 horas de exposição à radiação em um dia de incidência solar máxima?
Provas
Em uma competição de capacidades de uma equipe, uma das tarefas a serem cumpridas é a de manter um conjunto de pesos em equilíbrio utilizando o peso do corpo de três dos participantes escolhidos pela equipe. Há 5 participantes em cada equipe. João, que tem massa de 74 kg; Márcia, de 62 kg; Joyce, com 45 kg; Arthur, que tem massa de 95 kg e Breno, com 72 kg. Do lado esquerdo da gangorra são colocadas 4 caixas, que totalizam um peso de 4620 N. Quais os membros da equipe devem ser escolhidos para ficarem em pé na extremidade direita da gangorra a fim de manter o conjunto em equilíbrio?

Provas
Os pinguins são, por excelência, exímios patinadores. Algumas espécies, por exemplo, se locomovem por pequenas distâncias, deslizando de barriga no gelo, como mostrado na figura a seguir. Imagine que um pinguim imperador bem galanteador e com uma massa de 4,5 kg queira alcançar sua pretendente, que está localizada bem longe dele (veja figura). Supondo que ele se lance a deslizar de barriga do alto da ladeira e a partir do repouso, qual é a máxima distância em que a pretendente deve estar localizada a partir do final da ladeira para que o encontro de amor entre os dois aconteça? (Considere 0,2 o coeficiente de atrito do gelo).

Provas
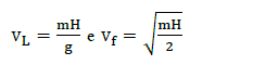
Um corajoso mergulhador de piscinas profundas desce por um tobogã que tem uma altura H, como mostrado na figura a seguir. O tobogã apresenta, em sua trajetória, um looping de raio R localizado no meio do percurso de descida do mergulhador. Como é possível observar na figura, o centro do looping se localiza exatamente à metade da altura do tobogã. Quais são, respectivamente, a velocidade mínima, vL, para que o mergulhador percorra o looping completamente e a velocidade final, vf , com que ele chegana piscina?

Provas
A pressão atmosférica é um dado da natureza que tem influência preponderante na vida das pessoas e de todos os seres vivos, até mesmo na constituição da nossa forma corpórea, que é adaptada ao valor da pressão da coluna de ar que se encerra sobre todas as coisas que habitam a superfície da Terra. A obtenção do valor dessa variável da natureza foi realizada em 1644, por Evangelista Torricelli, em um experimento dos mais importantes da história da Física. Para executar o experimento, Torricelli realizou a comparação entre a coluna de Mercúrio contida em um tubo de vidro, após o alcance do equilíbrio, entre as pressões externas e internas ao tubo. O excerto da carta de Torricelli a Ricci, escrita na época para comunicar a experiência, é apresentado a seguir.
´´[ ...] /Embora o mercúrio se sustentasse, sendo pesadíssimo, essa força
que dirige o mercúrio contra a sua natureza de cair para baixo,
conforme se acreditou até agora, fosse interna ao tubo, ou ao
vácuo, a essa matéria extremamente rarefeita; mas eu
mantenho que é externa e que a força vem de fora [ ...] Também a
água em um vaso semelhante, mas muito mais longo, subirá até
quase dezoito braças, isto é, tanto mais em relação ao mercúrio
quanto o mercúrio é mais pesado do que a água, para
equilibrar-se com a mesma causa que empurra um e outro´´.
( MARTINS,1989, p.158)

Analisando os seus conhecimentos sobre o processo de construção do experimento, a argumentação do cientista e a figura acima, pode-se concluir que a alternativa que apresenta uma afirmação incorreta é:
Provas
Uma granada de massa m explode no chão, onde estava em repouso, e se divide em três pedaços de massas iguais. O primeiro pedaço permanece em repouso no solo. O segundo é lançado pela explosão com 60° em relação à horizontal, a partir do ponto onde a explosão ocorreu, com uma velocidade V2. Já o terceiro pedaço é lançado com uma velocidade de 72 km/h. O alcance final do segundo pedaço, medido desde o ponto onde ocorreu a explosão é aproximadamente:
Provas
A Estação Espacial Internacional (ISS) está em órbita da Terra desde o ano de 2001. Ela está em órbita a uma altura de aproximadamente 360 km da superfície da Terra. Apesar dos muitos vídeos e imagens que dão a impressão de uma gravidade zero, a aceleração da gravidade na ISS não é nula. Sabendo que o raio da Terra é de 6371 km, qual é a relação entre a aceleração da gravidade na ISS e na Terra?
Provas
Caderno Container