Foram encontradas 50 questões.
Um grupo de turistas está executando um voo de balão na linda região da Capadócia, na Turquia. Ele voa na direção Sul com uma velocidade constante de 18 m/s e a 15 metros do solo, quando, à sua frente, observa uma parede rochosa com uma altura de 32 metros e que se encontra a 1 km de distância de onde está o balão. Os turistas imediatamente começam a elevar o balão para que este passe por cima da parede rochosa. Qual deve ser a velocidade média de subida do balão para que os bravos turistas consigam sobrevoar a parede rochosa à sua frente?

Provas
Considerando a palavra UNIFEI, quantos anagramas possuem as letras FE juntas, nessa ordem?
Provas
A equação da reta que passa pelo ponto (1,2) e forma um triângulo isósceles com os eixos coordenados é:
Provas
Considere, no plano cartesiano, o triângulo formado pelas retas y=-2x+2, y=x/2+2 e y=3x-3. A área desse triângulo é:
Provas

Provas
O retângulo ABCD abaixo foi dividido em outros 4 sub-retângulos, e os valores apresentados na figura representam a área de cada sub-retângulo. Sabendo que o perímetro do retângulo ABCD é 24, o comprimento da diagonal AC é:

Provas
O cilindro abaixo possui raio da base igual a 4 e a esfera inteiramente submersa no líquido dentro do cilindro possui raio igual a 2. Nessa situação, a altura do nível da água é h. Ao retirar a esfera do cilindro, o nível da água atingirá uma nova altura H. É correto afirmar que:

Provas
Qual o menor número natural positivo n tal que (√3+i)n seja real?
Provas
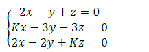
A soma dos valores K para os quais o sistema

admita infinitas soluções é:
Provas
Sabendo que numa moeda viciada a probabilidade de sair cara é 4 vezes a de sair coroa, então a probabilidade de, em dois lançamentos, sair cara no primeiro e coroa no segundo lançamento é:
Provas
Caderno Container