Foram encontradas 2.550 questões.
As reações que ocorrem com transferência de elétrons são denominadas reações de oxirredução, ou, simplesmente, reações redox. Acerca desse assunto, julgue os seguintes itens.

Provas
Um método empregado para elaborar o orçamento dos custos envolvidos na construção civil é o da quantificação, com o emprego de composição de custo unitário. Nesse método, o produto a ser executado é decomposto em várias componentes com quantificação de participação no produto final. Um exemplo dessa composição é mostrado a seguir.
composição analítica (sem BDI)
encargos sociais sobre preços de mão de obra (124,29%) hora e 82,30% (mês)
concreto Fck = 20 Mpa, controle C, excluindo lançamento

equipamento: 0,58 87,82%
mão de obra: 30,66 11,96%
total da composição: 256,37 100%
SINAPI (Sistema Nacional de Pesquisa e Índices da Construção Civil) (com adaptações).
Com base na composição mostrada acima, julgue o item a seguir acerca de orçamentos e composições de custos unitários e controle de materiais e de execução de obras e serviços.
Na dosagem do concreto, é fundamental determinar a umidade da areia grossa a fim de corrigir o traço obtido com a areia seca, dado o aumento de volume que esses agregados podem experimentar em função da absorção de água, fenômeno conhecido como inchamento.
Provas
Um método empregado para elaborar o orçamento dos custos envolvidos na construção civil é o da quantificação, com o emprego de composição de custo unitário. Nesse método, o produto a ser executado é decomposto em várias componentes com quantificação de participação no produto final. Um exemplo dessa composição é mostrado a seguir.
composição analítica (sem BDI)
encargos sociais sobre preços de mão de obra (124,29%) hora e 82,30% (mês)
concreto Fck = 20 Mpa, controle C, excluindo lançamento

equipamento: 0,58 87,82%
mão de obra: 30,66 11,96%
total da composição: 256,37 100%
SINAPI (Sistema Nacional de Pesquisa e Índices da Construção Civil) (com adaptações).
Com base na composição mostrada acima, julgue o item a seguir acerca de orçamentos e composições de custos unitários e controle de materiais e de execução de obras e serviços.
Considerando-se fixos o grau de hidratação e os agregados, a resistência à compressão é função exclusiva da relação água/cimento que, quando muito baixa, não permite a hidratação completa dos grãos de cimento. Nesse sentido, é correto afirmar que, quanto maior for a relação água/cimento, maior será também a resistência característica do concreto.
Provas
A reação entre um ácido carboxílico e um álcool, na presença de catalisador, formará um éter.
Provas
Considerando que a figura abaixo representa a molécula de vanilina, tradicionalmente conhecida como aroma de baunilha, é correto afirmar que a nomenclatura IUPAC para esse composto é 4-hidróxi-3-metoxi-benzaldeído.

Provas
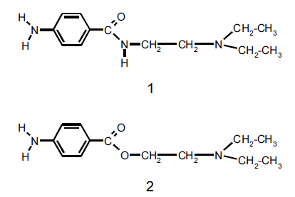
Considere que as estruturas 1 e 2 abaixo representam anestésicos locais com diferentes funções químicas em suas estruturas. Conforme essas representações, o composto 1 contém a função química éster, e o composto 2 a função química amida.

Provas
Orçamento pode ser definido como a determinação dos gastos necessários, em termos quantitativos, para a realização de um projeto, de acordo com o plano de execução previamente estabelecido. Acerca da elaboração de orçamentos na construção civil, julgue o item a seguir.
O custo da mão de obra de uma atividade ou serviço é o salário horário do trabalhador, variável em função do tipo de trabalho, do mercado e do grau de especialização da mão de obra e acrescido dos encargos sociais e trabalhistas especificados em lei.
Provas
A hidrólise é um equilíbrio entre dois pares conjugados, ácido e base, no qual a água pode participar como um ácido fraco ou uma base fraca. Na hidrólise de íons acetato, a água age como um ácido fraco; na hidrólise do íon amônio, por sua vez, ela age como uma base fraca.
Provas
A reação de neutralização que ocorre em uma solução contendo ácido clorídrico e hidróxido de bário respeita uma razão estequiométrica de 2:1 de ácido para base.
Provas
Em relação às soluções preparadas rotineiramente em laboratórios químicos e os respectivos procedimentos de preparo, julgue os itens a seguir.
Em soluções, o componente presente em excesso é chamado solvente, enquanto os demais componentes são considerados solutos.
Provas
Caderno Container