Foram encontradas 769 questões.
Considere o enunciado para responder a questão a seguir.

O diagrama em blocos da figura acima mostra uma confi-
guração em malha fechada. Sabe-se que
e K é uma constante positiva.
A Função de Transferência que relaciona Y(s) com R(s) é
O diagrama em blocos da figura acima mostra uma confi-
guração em malha fechada. Sabe-se que
Provas
Questão presente nas seguintes provas
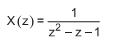
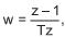
Costuma-se aproximar a variável complexa z, usada em sistemas discretos (digitais), pela variável também complexa w para sistemas contínuos, através da relação de transformação
onde T (real positivo) é o período de amostragem usado na discretização do sinal contínuo.
Sabe-se que a região de estabilidade para sistemas contínuos é o SPE, ou seja, o Semiplano da Esquerda do plano complexo da variável w, que pode ser definida por Re[w] < 0.
O lugar geométrico, no plano da variável z, dos pontos em que Re[w] < 0, é a região interior ao círculo de raio igual a (A) 1 e centro na origem
Sabe-se que a região de estabilidade para sistemas contínuos é o SPE, ou seja, o Semiplano da Esquerda do plano complexo da variável w, que pode ser definida por Re[w] < 0.
O lugar geométrico, no plano da variável z, dos pontos em que Re[w] < 0, é a região interior ao círculo de raio igual a (A) 1 e centro na origem
Provas
Questão presente nas seguintes provas
A famosa sequência de Fibonacci pode ser definida como o sinal x(n), discreto, causal e infinito, cujas primeiras amostras são

A sua lei de formação para
pode ser expressa como 
Aplicando a Transformada Z no sinal x(n), resulta a expressão
A sua lei de formação para
Aplicando a Transformada Z no sinal x(n), resulta a expressão
Provas
Questão presente nas seguintes provas
Um sistema linear é representado em Espaço de Estados pelas equações:

Os polos desse sistema são
Os polos desse sistema são
Provas
Questão presente nas seguintes provas
Considere que x(t) é um sinal que evolui no domínio do tempo de acordo com a equação diferencial linear representada por
, onde
. Considerando
e , a solução dessa equação, válida unicamente para t > 0, é expressa por
Provas
Questão presente nas seguintes provas

Considere z uma variável complexa que se apresenta decomposta na forma z = x + jy, x e y números reais. O gráfico acima mostra o plano complexo e a figura de um círculo centrado em z = 2 e de raio igual a 3.
O lugar geométrico da região sombreada, não incluindo a borda (circunferência), é expresso por
Provas
Questão presente nas seguintes provas
Um sinal v(t) é expresso, no domínio de Laplace, por

No domínio do tempo, quando t tende para infinito, o sinal v(t) tende para um valor estacionário, constante e igual a
No domínio do tempo, quando t tende para infinito, o sinal v(t) tende para um valor estacionário, constante e igual a
Provas
Questão presente nas seguintes provas

A estrutura de dados representada pelo diagrama da figura acima é denominada
Provas
Questão presente nas seguintes provas
A estrutura de um sistema SCADA (Supervisory Control and Data Acquisition) é constituída por, dentre outros elementos, computadores desktop, CLPs, sensores e atuadores. Cada elemento pertence a um nível na hierarquia dos sistemas de automação, sendo que os mencionados anteriormente são enquadrados nos níveis 3 (computador desktop), nível 2 (CLPs) e nível 1 (sensores e atuadores), onde o nível 1 é o de menos inteligência.
Associe os elementos com as suas funções em um sistema SCADA, apresentados a seguir.

As associações corretas são:
Associe os elementos com as suas funções em um sistema SCADA, apresentados a seguir.

As associações corretas são:
Provas
Questão presente nas seguintes provas

A figura acima mostra uma malha de controle típica em uma planta automatizada onde se necessita controlar uma variável do processo. Os elementos, representados pelos blocos, são: Planta (processo a ser controlado), Atuador, Sensor, CLP e driver de potência.
Os sinais presentes são assim descritos:
- Y é a variável a ser controlada;
- Sp é um sinal elétrico de referência que representa o valor desejado para Y;
- V é uma tensão elétrica proporcional a Y;
- U é um sinal elétrico de referência em função do erro entre Sp e V;
- Ua é o sinal U amplificado para compatibilizar a potência entre Q e R;
- F é uma grandeza física.
Os blocos, representados pelas letras P, Q, R, S, T da figura, são os elementos do sistema citados acima. O CLP é o elemento representado pela letra
Provas
Questão presente nas seguintes provas
Cadernos
Caderno Container