Foram encontradas 41.164 questões.
Um painel fotovoltaico possui as especificações seguintes:
P = 155 Wp \( \pm \) 5 W; Vmp = 20,60 V; Voc = 24,50 V; Isc = 8,30 A; \( \eta \) = 18%
A corrente de máxima potência, em ampères, vale, aproximadamente:
Provas
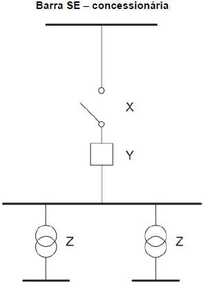
Considere a seguir o esquema de um sistema de suprimento do tipo radial simples.

Os dispositivos X, Y e Z correspondem, correta e respectivamente, a
Provas
BDI é a sigla de “Budget Difference Income”, sendo normalmente traduzida por “Benefício e Despesas Indiretas”, representando a diferença entre o custo orçado de uma obra e o seu custo total com o valor do lucro adicionado ao orçamento. Na sua composição, fazem parte: CD = custos diretos, CI = custos indiretos, IMP = impostos e LL = lucro líquido.
Custo direto e custo indireto de uma obra são, correta e respectivamente:
| Custo direto |
Custo indireto |
Provas
BDI é a sigla de “Budget Difference Income”, sendo normalmente traduzida por “Benefício e Despesas Indiretas”, representando a diferença entre o custo orçado de uma obra e o seu custo total com o valor do lucro adicionado ao orçamento. Na sua composição, fazem parte: CD = custos diretos, CI = custos indiretos, IMP = impostos e LL = lucro líquido.
A expressão para o cálculo de %BDI em função do custo direto é dada por:
Provas
A estimativa de orçamento de uma obra pode ser obtida por vários métodos. Um deles, definido na NBR-12721, é o cálculo dos custos da obra pelo método da “área equivalente de construção”, cuja fórmula básica é:
Custo total = (Área padrão + Áreas equivalentes à padrão) \( \times \) CUB.
Sobre esse método e essa fórmula, é correto afirmar que CUB é o
Provas
Para a previsão de carga de iluminação pelo método da carga mínima em um ambiente a ser usado como depósito, com área de 20 m2, a NBR-5410 estabelece critérios para definir a potência mínima para os pontos de luz de
Provas
A tabela abaixo, obtida de um datasheet, apresenta uma parte das especificações técnicas de um modelo de relé eletromecânico com quatro tipos de tensão de operação.
|
Rated |
Rated current* |
Coil resistance |
Coil inductance (H) (ref. value) |
Must operate voltage |
Must release voltage |
Max. voltage |
Power (approx.) |
||
|
Armature OFF |
Armature ON |
% of rated voltage |
|||||||
|
DC |
6 V | 87.0 mA | 69 \( \Omega \) | 0.25 | 0.48 | 70% max. | 15% min. | 110% | |
| 12 V | 0.98 | 2.35 | |||||||
| 24 V | 21.6 mA | 1,113 \( \Omega \) | 3.60 | 8.25 | |||||
| 48 V | 4,220 \( \Omega \) | 15.2 | 29.82 | ||||||
Observando que foram omitidas quatro especificações (tarjas cinzas) e sabendo que o consumo de potência é aproximadamente igual para os quatro tipos de relés, os valores aproximados, da corrente nominal dos relés de 12 e 48 V, da resistência da bobina do relé de 12 V e do consumo de potência deste modelo de relé eletromecânico são, correta e respectivamente,
Provas
Possui um dispositivo sensor cuja função é detectar falta ou falha de tensão e/ou frequência da rede elétrica e, após interromper a energização pela rede, fecha um contato para o comando da partida do grupo gerador. Os parâmetros do sistema devem ser ajustados para ter um tempo mínimo de confirmação de falta ou falha, evitando, por exemplo, a partida do grupo gerador em decorrência de picos instantâneos na tensão da rede. O sistema deve também monitorar o retorno da rede elétrica à condição de normalidade para acionar um contato de retransferência da carga, mantendo o grupo gerador funcionando em vazio para o devido resfriamento.
Trata-se de
Provas
De acordo com a NBR-5674, que trata dos requisitos para o sistema de gestão de manutenção de edificações, no que se refere à organização dos requisitos para a manutenção, a gestão do sistema deve considerar algumas características da edificação, EXCETO:
Provas
Uma lâmpada de vapor de sódio possui as seguintes especificações:
E27 – 8.712 lm – 100 W – 60 Hz – 220 V – 1,20 A – 87,1 lm/W – 2.000 K – 32.000 h
Correspondem, respectivamente, à eficiência luminosa da lâmpada e à temperatura da cor as especificações:
Provas
Caderno Container