Foram encontradas 1.575 questões.
A respeito do gás natural foram feitas as seguintes afirmações:
I – é constituído basicamente por CH4 e, em menor proporção, por N2, CO2,C2H6, podendo conter ainda um pouco de alcanos superiores;
II – é sempre encontrado associado ao petróleo em íntimo contato com o óleo;
III – a composição química do gás natural tem grande influência sobre seu poder calorífico;
IV – os teores máximos de enxofre total e H2S são definidos na especificação do gás natural.
São corretas as afirmações:
Provas
A gasolina no Brasil difere da gasolina mundial quanto ao tipo de oxigenado utilizado (somente etanol) e quanto à quantidade adicionada (22%). Em geral, fixa-se o teor máximo de oxigenados na gasolina mundial em 2,7%, em massa de oxigênio, e no Brasil esse número chega a cerca de 7%. A adição de etanol à gasolina acarreta:
Provas
O processamento de petróleo se inicia com a destilação atmosférica e a vácuo, onde são obtidas as frações básicas de refino, que podem compor diretamente um produto ou servir de carga para outros processos. Algumas dessas frações são:
|
I - GLP |
|
II - Gasóleo atmosférico |
|
III - Gasóleo de vácuo |
|
IV - Nafta |
|
V - Querosene |
A ordem crescente de faixa de ebulição dessas frações é:
Provas
Considere os ensaios abaixo, utilizados para especificar ou avaliar o desempenho de derivados de petróleo, e suas finalidades.
| Ensaio |
Finalidade do ensaio |
|
| I | Ponto de fulgor |
Determinar a menor temperatura na qual o produto se vaporiza em quantidade suficiente para formar com o ar uma mistura que se inflama, sustentando a combustão. |
| II | Ponto de anilina |
Determinar a menor temperatura na qual volumes iguais de anilina e amostra são completamente miscíveis. |
| III | Ponto de névoa |
Determinar a menor temperatura em que se observa o aparecimento de turvação da amostra, indicando o início da cristalização, ao se resfriar a amostra em condições determinadas. |
A correlação entre o ensaio e a finalidade está correta em:
Provas
A especificação para gasolina comum do tipo C no Brasil determina um valor mínimo de número de octano motor (MON) igual a 82. A medida do número de octano motor na gasolina é utilizada para avaliar seu(sua):
Provas
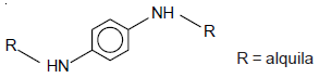
Para diminuir a formação de goma em gasolinas e melhorar suas características de manuseio e armazenamento podem ser utilizados aditivos derivados de diaminas aromáticas, como a representada abaixo.

Esse aditivo atua como um agente:
Provas
Avaliando a influência da composição hidrocarbônica de petróleos e de seus derivados sobre suas propriedades, é correto afirmar que um maior teor de compostos:
Provas
O ensaio Doctor permite pesquisar a presença de sulfeto de hidrogênio e mercaptans em derivados de petróleo como a gasolina e o querosene. Ele consiste na agitação da amostra com solução aquosa de plumbito de sódio (Na2PbO2), seguida da adição de pequena quantidade de enxofre. O teste é considerado positivo para mercaptans quando há formação de um precipitado preto após a adição de enxofre. A formação desse precipitado se deve a uma reação de:
Provas
As especificações para o querosene de aviação (QAV) estabelecem um:
- teor máximo de aromáticos de 25%, em volume;
- teor máximo de enxofre mercaptídico de 0,0030%, em massa, ou ensaio Doctor negativo;
- valor máximo de 7mg/100mL para o ensaio de goma atual;
- valor máximo de 25mm de Hg para o ensaio de estabilidade térmica (JFTOT).
Assinale a opção que registra o princípio correto do método recomendado pela especificação do QAV para algum desses ensaios.
| Ensaio |
Princípio do método |
Provas
Os óleos combustíveis são produzidos em diferentes tipos, de acordo com sua utilização. A classificação do óleo combustível em 1A a 9A ou 1B a 9B é feita em função de sua (seu):
Provas
Caderno Container