Magna Concursos

Foram encontradas 6.276 questões.

3553210 Ano: 2025
Disciplina: Engenharia de Telecomunicações
Banca: IF-SUL
Orgão: IF-SUL

Em um sistema de comunicação sem fio, o recebimento do sinal em áreas situadas em regiões sem visada direta, que teoricamente seriam de sombra eletromagnética, não é absolutamente raro.

Tal fenômeno refere-se à

 

Provas

Questão presente nas seguintes provas
3553209 Ano: 2025
Disciplina: Engenharia de Telecomunicações
Banca: IF-SUL
Orgão: IF-SUL

No processo de análise e/ou projeto de um enlace de rádio, o engenheiro de projeto deve considerar diversos aspectos.

Considere as seguintes afirmações sobre essa situação:

I. O movimento do receptor provoca uma variação na intensidade do campo elétrico recebido, fato decorrente das variações das interferências construtivas e destrutivas de várias reflexões, considerando que a quantificação dessa variação do campo elétrico depende da velocidade do movimento do receptor.

II. Os efeitos de grande escala são oriundos de detalhes como relevo dos terrenos, densidade e altura de construções e vegetações vizinhas. Estatisticamente esses efeitos são caracterizados através da média das perdas do percurso e conhecidos como desvanecimento rápido.

III. Os efeitos de pequena escala são oriundos do meio local, proximidade de construções e do movimento do terminal sem fio entre esses meios. Esses efeitos apresentam uma escala de tempo mais curta e, estatisticamente, são caracterizados como desvanecimento Rayleigh lento.

Está(ão) correta(s) apenas a(s) alternativa(s)

 

Provas

Questão presente nas seguintes provas
3553208 Ano: 2025
Disciplina: Engenharia de Telecomunicações
Banca: IF-SUL
Orgão: IF-SUL

Durante a realização de um Site Survey (levantamento de cobertura via medições in loco) para um sistema de comunicação sem fio, é observada a ocorrência de variação rápida e indesejada na intensidade do sinal em torno do valor médio.

Esse fenômeno é chamado de

 

Provas

Questão presente nas seguintes provas
3553207 Ano: 2025
Disciplina: Engenharia de Telecomunicações
Banca: IF-SUL
Orgão: IF-SUL

No cotidiano urbano, estamos acostumados a escutar o som de sirenes se modificando de acordo com a posição e movimento do emissor em relação a nós. Esse fenômeno é conhecido como Efeito Doppler e ocorre, também, com as ondas de rádio.

Sobre o Efeito Doppler, é correto afirmar que, se o receptor estiver se

 

Provas

Questão presente nas seguintes provas
3553206 Ano: 2025
Disciplina: Engenharia de Telecomunicações
Banca: IF-SUL
Orgão: IF-SUL

Na comunicação via satélite, é comum a utilização de antenas com alto ganho. Essa escolha ajuda a mitigar os efeitos do longo percurso da comunicação, além das cintilações no sinal devido à ionosfera.

Nesse contexto, qual das antenas abaixo apresenta polarização circular?

 

Provas

Questão presente nas seguintes provas
3553205 Ano: 2025
Disciplina: Engenharia de Telecomunicações
Banca: IF-SUL
Orgão: IF-SUL
A irradiação de uma antena apresenta características particulares em diferentes regiões, ao longo da distância entre ela e seu ponto de observação. Essas regiões são conhecidas como região de campo próximo, região de campo próximo radiante e região de campo distante.
A respeito do comportamento esperado nessa última região, é correto afirmar que
 

Provas

Questão presente nas seguintes provas
3553204 Ano: 2025
Disciplina: Engenharia de Telecomunicações
Banca: IF-SUL
Orgão: IF-SUL

Em um sistema de comunicação sem fio, as antenas servem como elementos transdutores entre o meio físico e o canal de propagação e vice-versa. Sobre as características das antenas, afirma-se que o(a)

I. diagrama de irradiação ilustrado nos datasheets de uma antena representa sua irradiação na região de campo distante.

II. ganho diretivo de uma antena representa a quantificação da concentração de sua potência irradiada em determinada direção.

III. diretividade de uma antena fornece a razão entre a intensidade de irradiação máxima e a intensidade de irradiação instantânea.

Nesse contexto, estão corretas as afirmativas

 

Provas

Questão presente nas seguintes provas
3553203 Ano: 2025
Disciplina: Engenharia de Telecomunicações
Banca: IF-SUL
Orgão: IF-SUL

A acurácia e a estabilidade de métodos numéricos são extremamente importantes para que a solução obtida seja confiável e útil. Acurácia está relacionada com quão próxima a solução aproximada está da solução exata do problema em questão, enquanto a estabilidade é o requerimento para que o método não aumente a magnitude da solução com o passar do tempo.

Com base nessas informações, as principais fontes de erro em simulações numéricas de fenômenos eletromagnéticos são dadas por erros de

 

Provas

Questão presente nas seguintes provas
3553202 Ano: 2025
Disciplina: Engenharia de Telecomunicações
Banca: IF-SUL
Orgão: IF-SUL

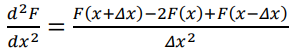
Sabe-se que a aproximação de segundas derivadas em diferenças finitas pode ser determinada por Enunciado 4190326-1.

Diante do exposto, qual equação de recorrência pode determinar a solução da equação de onda plana unidimensional?

 

Provas

Questão presente nas seguintes provas
3553201 Ano: 2025
Disciplina: Engenharia de Telecomunicações
Banca: IF-SUL
Orgão: IF-SUL

O método dos elementos finitos (Finite Element Method - FEM) originou-se no campo da análise estrutural. Apesar do tratamento matemático inicial do método ter sido desenvolvido por Richard Courant em 1943, o método não foi aplicado a problemas de eletromagnetismo até 1968. Desde então, este método vem sendo empregado em diversas áreas, tais como problemas de guias de onda, máquinas elétricas, dispositivos semicondutores e linhas de microstrip.

Em relação ao método dos elementos finitos, é correto afirmar que este

 

Provas

Questão presente nas seguintes provas