Foram encontradas 948 questões.
Disciplina: Engenharia de Transportes e Trânsito
Banca: CESPE / CEBRASPE
Orgão: MPO
Procedimentos de inspeção visual, inventário de rotina, monitoramento e intervenções de emergência em caso de degradações causadas por incidentes, acidentes ou vandalismo compõem uma programação constante quinzenal de acompanhamento do estado de conservação da rodovia.
Provas
Disciplina: Engenharia de Transportes e Trânsito
Banca: CESPE / CEBRASPE
Orgão: MPO
A conservação rodoviária compreende o conjunto de operações rotineiras, periódicas e de emergência realizadas com o objetivo de preservar as características técnicas e físico-operacionais do sistema rodoviário e das instalações fixas, dentro de padrões de serviço preestabelecidos.
Provas
Disciplina: Engenharia de Transportes e Trânsito
Banca: IADES
Orgão: METRÔ-DF

Provas
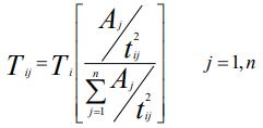
Um dos modelos de distribuição mais utilizados para definição de viagens no planejamento de transportes é o modelo gravitacional. Este faz uma analogia com a lei física de gravitação onde a força de atração é o número de viagens gerados de um polo de origem para um polo de atração (em função de um uso do solo catalisador) e a distância é o tempo de viagem entre o polo gerador e o polo de atração.

Onde: Tij = número de viagens geradas no polo de origem i que terminam no polo de atração j; Tj = número de viagens geradas no polo de origem i; Aj = número de viagens que podem ser atraídas pelo polo de atração j; tij = tempo de viagem entre os polos de origem e de atração; e n = número de polos de atração.
Um porto marítimo que atende cinco cidades em um raio de 550 km gera 30 mil viagens de caminhão por dia. A população e o tempo de viagem entre cada cidade e o porto são mostrados na tabela abaixo.
Cidade | A | B | C | D | E |
População (milhares) | 100 | 48 | 180 | 147 | 90 |
Tempo de viagem (horas) | 5 | 4 | 6 | 7 | 3 |
De acordo com o modelo gravitacional, o número de viagens de caminhão que partirão do porto e chegarão à cidade A é de:
Provas
No projeto de trechos em curva de rodovias é prevista a utilização de uma largura adicional na pista com a finalidade de assegurar ao tráfego condições de segurança e comodidade.
Esse elemento de projeto é conhecido como:
Provas
urbano são: deslocamentos de longa distância, ligação entre os bairros, circulação nos bairros e acesso às moradias. As vias são classificadas a partir de suas características funcionais e físicas em alguns tipos.
As vias caracterizadas por acessos especiais com trânsito livre, sem intersecções em nível, sem acessibilidade direta aos lotes lindeiros e sem travessia de pedestres em nível são classificadas como:
Provas
Uma linha de ônibus está sendo planejada para atender à zona central da cidade com 8 pontos de parada. Serão utilizados ônibus com 42 lugares sentados nos quais o embarque será feito pela porta da frente e o desembarque, pela porta dos fundos.
No planejamento, o número potencial de usuários usado para a linha é mostrado na tabela abaixo.
Ponto | 1 | 2 | 3 | 4 | 5 | 6 | 7 | 8 |
Desembarcaram | 0 | 6 | 8 | 15 | 12 | 19 | 14 | 11 |
Embarcaram | 13 | 25 | 19 | 16 | 8 | 4 | 0 | 0 |
Considerou-se que:
o tempo de abertura e fechamento é de 4 s;
o tempo de embarque por passageiro, sem usuários em pé, é de 3 s e, com usuários em pé, é de 3,5 s;
o tempo de desembarque por passageiro é de 2 s.
O ponto de parada crítico é:
Provas
Na análise da capacidade de transporte são utilizados parâmetros de fluxo de tráfego macroscópicos e microscópicos. Relacione os parâmetros apresentados abaixo com suas respectivas definições.
1. Volume de tráfego
2. Espaçamento entre veículos
3. Intervalo entre veículos
4. Densidade de tráfego
( ) é o número de veículos que passa por um determinado ponto de uma rodovia durante um determinado período de tempo, normalmente uma hora (veículos por hora);
( ) é a diferença de tempo entre o momento em que a frente de um veículo chega a um ponto da rodovia e aquele em que a frente do veículo seguinte chega ao mesmo ponto (em segundos);
( ) é a distância entre a frente de um veículo e a frente do veículo seguinte (em metros);
( ) é o número de veículos presentes em um comprimento unitário da rodovia em um determinado instante (veículo/km).
A relação correta, de cima para baixo, é:
Provas
Logo após entrar em uma via em declive de 500 m, com 5% de inclinação, um veículo, que viajava a velocidade máxima de projeto da via de 110 km/h, percebeu um problema e acionou os freios.

Onde: tg α = 5%, P é o peso, v é a velocidade inicial, u é a velocidade final = 0, a = ( - v2 /2gD . cos α) é a desaceleração de frenagem até a parada, D é a distância de frenagem e g é a aceleração da gravidade (9,81 m/s).
Sabendo que a força de atrito f capaz de gerar uma desaceleração confortável ao ser humano é de 0,35 e que o espaço percorrido entre o tempo de percepção do problema e o acionamento dos freios foi de 65,4 m, a distância de parada é de:
Provas
Um trem de passageiros e outro de carga compartilham uma mesma via de 400 km. As velocidades médias destes trens são respectivamente 150 km/h e 75 km/h. Ambos saem da mesma estação, sendo que o trem de passageiros parte 60 minutos depois do trem de carga. Para que o trem de passageiros possa seguir sem colidir com o trem de cargas, será projetado um pátio de desvio em um ponto da via.
Se no momento de entrada do trem de carga no pátio deve haver, por segurança, uma separação entre os dois trens de 12 minutos, o pátio deverá ser criado à seguinte distância do ponto de partida:
Provas
Caderno Container