Foram encontradas 29.756 questões.

Provas

Provas
Provas
Um escritório de patentes analisa as afirmativas de um inventor que deseja obter os direitos sobre três máquinas térmicas reais que trabalham em um ciclo termodinâmico. Os dados sobre o calor rejeitado para a fonte fria e o trabalho produzido pela máquina térmica – ambos expressos em Joules – encontram-se na tabela abaixo.

As afirmativas do inventor são:
Afirmativa 1: O rendimento das máquinas A e C são os mesmos para quaisquer temperaturas de fonte quente e de fonte fria.
Afirmativa 2: As máquinas A, B e C obedecem à Segunda Lei da Termodinâmica.
Afirmativa 3: Se o calor rejeitado nas três situações acima for dobrado e se for mantida a mesma produção de trabalho, a máquina B apresentará rendimento superior aos das máquinas A e C, supondo atendidos os princípios da termodinâmica.
Tomando sempre as temperaturas dos reservatórios das fontes quente e fria das máquinas como 900 K e 300 K, está(ão) correta(s) a(s) afirmativa(s):
Provas

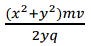
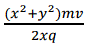
Dados:
• constante de Coulomb: 
• cargas elétricas: 
• posições das partículas:


Considerando todas as grandezas dadas no Sistema Internacional de Unidades, o módulo da componente y do impulso da força que uma partícula exerce sobre a outra no intervalo de tempo de 1,0 a 6,0 é:
Provas

Provas

Provas

Provas

Provas

Provas
Caderno Container