Foram encontradas 6.650 questões.
(MAXIMIANO, 2014.)
É correto afirmar que caracteriza um projeto:
Provas
Provas
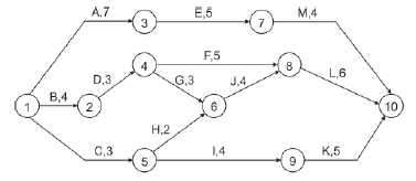
O planejamento da construção de um galpão comercial seguiu o cronograma PERT-CPM a seguir, no qual as atividades estão indicadas por letras, seguidas da duração, em semanas.

Devido ao atraso de 2 semanas para iniciar a atividade A e ao atraso de 1 semana na entrega de materiais para executar a atividade E, conclui-se que a obra
Provas
Quais são os grupos de processos de gerenciamento de projetos, de acordo com o Instituto de Gerenciamento de Projetos - PMI Brasil?
Provas
Julgue o próximo item, relativo a PMBOK 7.
O processo de tailoring é conduzido pelos princípios orientadores do gerenciamento de projetos, os quais incluem conhecer o contexto e as metas do projeto para equilibrar demandas concorrentes, tais como entregar o quanto antes, e minimizar os custos do projeto.
Provas
Julgue o próximo item, relativo a PMBOK 7.
Os portfólios, programas e projetos — como componentes da entrega de valor de um projeto — influenciam uns aos outros, bem como influenciam as operações, as quais, por sua vez, influenciam outras operações, mas não portfólios ou programas.
Provas
Em Gerenciamento de Projetos, identifique a alternativa que apresenta o termo técnico com o seguinte significado: "pessoas físicas ou jurídicas que podem ser impactadas por projetos, diretamente ou indiretamente, de forma negativa ou positiva".
Provas
Segundo Heldman (2009), dentro dos Processos de Iniciação, o processo Desenvolver o Termo de Abertura do Projeto, pertence a qual área de conhecimento?
Provas
De acordo com Heldman (2009), sobre o escritório de gerenciamento de projetos (Project Management Office - PMO), analise as afirmativas abaixo e assinale a opção correta.
I- O PMO avalia os projetos concluídos de acordo com sua adesão ao plano de gerenciamento dos custos.
II- O PMO somente pode existir na estrutura organizacional funcional.
III- O PMO se encarrega da manutenção e arquivamento da documentação dos projetos para referência futura.
Provas
A empresa Brasil Eventos, especializada em produções artísticas, vem trabalhando fortemente na padronização de seus projetos segundo o Guia PMBOK® e na adoção de boas práticas ITIL®. O objetivo destas ações visa melhorar os serviços de Tecnologia da Informação (TI) para seus departamentos internos e seus consumidores finais.
Você trabalha nesta empresa há muitos anos, na equipe de infraestrutura de TI, e participa ativamente dessas ações e em diversos projetos.
Apesar de ter iniciado pequena e ser familiar, a Brasil Eventos hoje possui muitas áreas. Uma de suas metas para o ano é a conclusão do Conselho Administrativo a ser formado por integrantes da família e executivos de mercado.
Alguns destes executivos possuem certificações internacionais e experiências alinhadas aos objetivos descritos e desejam implementar melhorias e novos processos, porém isso tem sido visto com bastante resistência pelos membros familiares da empresa, que entendem que as práticas atuais já são bem executadas. Isso tem gerado, desde então, diversos conflitos internos.
Com base nesse cenário, responda a questão a seguir:
Um dos projetos mais importantes da Brasil Eventos, da qual você faz parte como membro do time do projeto, tem enfrentado diversas dificuldades com relação às suas entregas.
A Expert – Soluções em TI, consultoria contratada para auxiliar na solução, diagnosticou que o principal problema se refere à forma como o Gerente de Projetos (GP) tem se posicionado. Sugere, então, aos responsáveis da Brasil Eventos que, para as próximas duas semanas, o GP foque seu comportamento priorizando apenas atitudes e habilidades de liderança de equipe e não de gerenciamento.
Diante disso, seu gerente imediato, sabendo que você conhece o Guia PMBOK®, solicita que você indique a ele como deverá ser o comportamento do GP, com base na recomendação da consultoria.
Sobre o comportamento do GP, assinale V para a afirmativa verdadeira e F para a falsa.
( ) Precisará influenciar e guiar as equipes, utilizando seu poder de relacionamento dentro da Brasil Eventos em vez de utilizar-se de sua posição de Gerente de Projetos.
( ) Deverá se manter focado nas metas de curto prazo do projeto e não ter foco e visão de longo alcance durante as duas próximas semanas.
( ) Deverá sempre manter o alinhamento e a motivação da equipes, além de inspirar sua confiança.
( ) Durante o período recomendado pela consultoria, o GP deverá administrar o projeto e não inovar em sua forma de atuar.
( ) Apenas ao longo das duas semanas, o GP deverá manter o foco nos sistemas e na estrutura da organização para que o projeto alcance os resultados e não no relacionamento com as pessoas e com o time.
As afirmativas são, respectivamente,
Provas
Caderno Container