Foram encontradas 6.626 questões.
Em uma reunião com um dos principais interessados (stakeholders) de um projeto, é pedido ao gerente para adiantar a entrega final do projeto. O que poderia ser feito para atender a esse pedido?
Provas
A curva de gastos de um projeto costuma ter o formato de uma curva-S, como identificado no gráfico a seguir.

PMBOK, 3a Edição, 2004, p.170. (Adaptado)
A curva tem este formato característico porque os
Provas

Examinando a estrutura analítica do projeto acima quanto a ERRO que pode ser apontado, constata-se que
Provas

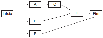
Analisando o diagrama de precedência mostrado na figura acima, constata-se que uma característica das atividades do projeto nele representadas é que
Provas
Segundo o PMI (Project Management Institute), projeto é um esforço temporário empreendido para alcançar um objetivo específico. Nesse sentido, gerenciamento de projetos é a
Provas
Assinale a alternativa que define corretamente os processos que envolvem o controle do escopo de um projeto:
Provas
Assinale a alternativa que preenche corretamente o modelo do processo de cálculo da metodologia TCO (Total Cost Ownership):

Provas
Assinale a alternativa que define corretamente a fase de auditoria em um projeto:
Provas
São stakeholders principais e essenciais, diretamente envolvidos na equipe de gerência de projetos:
Provas
São áreas do conhecimento definidas pelo PMBOK para gerência de projetos, EXCETO:
Provas
Caderno Container