Foram encontradas 355 questões.
Provas
Em relação aos temporizadores e contadores de um controlador lógico programável (CLP):
( ) Um exemplo de aplicação do temporizador de pulso é no momento que o misturador deve ser ligado por dez segundos quando o usuário pressionar um botão de contato momentâneo.
( ) O bloco funcional gráfico e seu diagrama de eventos, ambos abaixo, referem-se a um temporizador com retardo para ligar (Timer On Delay):
( ) Um tipo de dado muito útil e que imprime flexibilidade no desenvolvimento do Programa de Aplicação é o valor atual dos contadores. Com o endereço específico da Tabela de Dados, é possível elaborar comparações do valor instantâneo contado, independente da contagem ter atingido o valor pré- setado.
Analise as afirmativas acima identificando com um “V" quais são VERDADEIRAS e com um “F" quais são FALSAS, na sequência de cima para baixo.
Provas
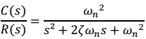
A função de transferência abaixo representa a resposta a um degrau unitário de um sistema de controle de segunda ordem de um servossistema constituído de um controlador proporcional e elementos de carga (elementos de inércia e de atrito viscoso).

Sendo o valor do coeficiente de amortecimento (ζ) igual a 0,5 e a frequência natural não amortecida (ωn) igual a 4rad /s, os valores aproximados do tempo de subida (tr), do tempo de pico (tp) e do tempo de acomodação (ts) para o critério de 2% são, respectivamente:
Provas
No diagrama de blocos abaixo está representado um sistema de controle com realimentação. Com base nesse diagrama, são feitas as seguintes afirmações:
I. Quando o valor de referência (ysp) é fixo, o controle é dito regulador.
II. O controlador (Gc ) recebe o sinal de erro (e) e, através dele, exerce o controle para modificar o valor de referência (ysp).
III. O diagrama apresenta um sistema de controle com realimentação negativa, que é bastante útil para fins de controle de dinâmico e onde o erro (e) pode ser calculado através da fórmula: e = y -ysp.
IV. No sistema apresentado no diagrama acima, o controlador age no sentido da estabilização.
Assinale a alternativa em que todas as afirmativas estão CORRETAS:
Provas
Analise o diagrama de processos apresentado a seguir.

Considerando o relacionamento apresentado.
I. Instrumento instalado no campo.
II. Sinal pneumático.
III. Conversor eletro-pneumático.
IV. Sinal elétrico.
V. Válvula de controle pneumática.
Quais afirmações são VERDADEIRAS:
Provas
Provas
Provas
Provas
Provas
Assinale a alternativa que corresponde ao
parâmetro característico de um sistema de
medição descrito da seguinte forma:
"É a máxima variação que a variável pode ter sem
que provoque alteração na indicação ou sinal de
saída de um instrumento."
Provas
Caderno Container