Magna Concursos

Foram encontradas 728 questões.

1073937 Ano: 2013
Disciplina: Logística
Banca: AOCP
Orgão: Col. Pedro II
Na Logística, como podemos defnir armazenagem?
 

Provas

Questão presente nas seguintes provas
1073936 Ano: 2013
Disciplina: Logística
Banca: AOCP
Orgão: Col. Pedro II
Na Logística, existem vários meios de transportes. Quais são eles?
 

Provas

Questão presente nas seguintes provas
897782 Ano: 2013
Disciplina: Logística
Banca: CESGRANRIO
Orgão: BR Distribuidora
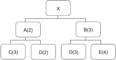
Um motor (X) apresenta a seguinte estrutura de produto:
enunciado 897782-1
O número de Bobinas (representado por D) necessário para se produzir 200 motores (X) é:
 

Provas

Questão presente nas seguintes provas
897781 Ano: 2013
Disciplina: Logística
Banca: CESGRANRIO
Orgão: BR Distribuidora
Dentro da moderna definição de Logística, podemos considerar que os fluxos de informação, materiais e de dinheiro estão incorporados.
Dentre esses fluxos qual(is) se origina(m) no fornecedor?
 

Provas

Questão presente nas seguintes provas
806793 Ano: 2013
Disciplina: Logística
Banca: CEPERJ
Orgão: SEPLAG-RJ
Tradicionalmente, quando os produtos logísticos são dirigidos a indivíduos ou organizações que os utilizam para produzir outros produtos ou serviços, são classificados como:
 

Provas

Questão presente nas seguintes provas
806792 Ano: 2013
Disciplina: Logística
Banca: CEPERJ
Orgão: SEPLAG-RJ
A importância relativa de cada modo de transporte é explicada, parcialmente, pela carga transportada e pela vantagem inerente ao produto. Quando os custos elevados são compensados efetivamente por melhores níveis de serviços, deve ser utilizado o seguinte modal de transporte:
 

Provas

Questão presente nas seguintes provas
680028 Ano: 2013
Disciplina: Logística
Banca: CESPE / CEBRASPE
Orgão: TRT-8
Logística de transporte corresponde ao processo de transferência de mercadoria do seu ponto de origem até seu destino final, com preço, qualidade e tempo adequados, o que gera, assim, desenvolvimento da economia de um país. Com relação a esse assunto, assinale a opção correta.
 

Provas

Questão presente nas seguintes provas
680027 Ano: 2013
Disciplina: Logística
Banca: CESPE / CEBRASPE
Orgão: TRT-8
No que se refere à multimodalidade dos transportes, assinale a opção correta.
 

Provas

Questão presente nas seguintes provas
675473 Ano: 2013
Disciplina: Logística
Banca: QUADRIX
Orgão: CRF-RS
Provas:
A Empresa Brasileira de Correios e Telégrafos (ECT) é uma empresa pública vinculada ao Ministério de Comunicações. Para a consecução de seu objetivo, a ECT coloca à disposição de seus usuários uma variada gama de serviços. O serviço de encomenda da linha econômica para o envio de mercadorias em que o remetente estipula o valor a ser cobrado do destinatário é o denominado:
 

Provas

Questão presente nas seguintes provas
504126 Ano: 2013
Disciplina: Logística
Banca: FUMARC
Orgão: PC-MG
O propósito de um plano em uma organização é
 

Provas

Questão presente nas seguintes provas