Magna Concursos

Foram encontradas 137.648 questões.

3673422 Ano: 2025
Disciplina: Matemática
Banca: OBJETIVA
Orgão: Pref. Barão-RS
Uma equipe de arqueólogos está estudando a base de uma pirâmide. A base da pirâmide tem formato triangular, com 20 metros de base e 18 metros de altura. Assinalar a alternativa que apresenta a área da base.
 

Provas

Questão presente nas seguintes provas
3673421 Ano: 2025
Disciplina: Matemática
Banca: OBJETIVA
Orgão: Pref. Barão-RS
Em uma empresa, 60% dos funcionários são homens e 40% são mulheres. Entre os homens, 70% têm curso superior, e, entre as mulheres, 80% têm curso superior. Se um funcionário com curso superior for escolhido ao acaso, qual é a probabilidade de ser uma mulher?
 

Provas

Questão presente nas seguintes provas
3673420 Ano: 2025
Disciplina: Matemática
Banca: OBJETIVA
Orgão: Pref. Barão-RS
Uma senha de acesso é formada por 2 letras e 3 algarismos, todos distintos. Sabendo-se que são 26 letras e que os números vão de 0 a 9, quantas senhas diferentes podem ser criadas?
 

Provas

Questão presente nas seguintes provas
3673419 Ano: 2025
Disciplina: Matemática
Banca: OBJETIVA
Orgão: Pref. Barão-RS
Em uma progressão aritmética, o primeiro termo é 10 e a soma dos 8 primeiros é 136. Qual é a razão dessa progressão?
 

Provas

Questão presente nas seguintes provas
3673418 Ano: 2025
Disciplina: Matemática
Banca: OBJETIVA
Orgão: Pref. Barão-RS
Um foguete de pequeno porte é lançado verticalmente a partir do solo, e sua altura em metros, após “t” segundos, é descrita pela equação h(t) = -5t² + 30t + 20. Sabendo que a altura máxima ocorre no ponto mais alto da trajetória do foguete, em quantos segundos após o lançamento ele atinge essa altura máxima?
 

Provas

Questão presente nas seguintes provas
3673172 Ano: 2025
Disciplina: Matemática
Banca: IBADE
Orgão: Univesp
Uma empresa de tecnologia está contratando novos funcionários e, para isso, realizou uma triagem inicial. Após essa etapa, sobraram 10 candidatos, dos quais 4 são mulheres e 6 são homens. A empresa deseja formar uma dupla aleatória para a próxima fase da seleção.

Qual é a probabilidade de que essa dupla seja composta exatamente por uma mulher e um homem?
 

Provas

Questão presente nas seguintes provas
3673170 Ano: 2025
Disciplina: Matemática
Banca: IBADE
Orgão: Univesp
A prefeitura de uma cidade está projetando uma nova praça retangular para servir como espaço de lazer e eventos culturais. No planejamento, foi determinado que o perímetro total da praça será de 84 metros e que seu comprimento será 5/3 da largura. A equipe de engenharia precisa calcular a área total da praça para planejar a pavimentação.

Com base nesses dados, qual será a área total da praça?
 

Provas

Questão presente nas seguintes provas
3673122 Ano: 2025
Disciplina: Matemática
Banca: IBADE
Orgão: Univesp
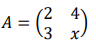
Em um laboratório de engenharia, os pesquisadores estão desenvolvendo um sistema para analisar estruturas de construção por meio de matrizes matemáticas. Uma das análises envolve o cálculo do determinante de uma matriz associada a um modelo estrutural.
A matriz utilizada na análise é:

Enunciado 4368542-1

Sabendo que o determinante dessa matriz é 2, qual é o valor de x necessário para garantir a estabilidade do modelo?
 

Provas

Questão presente nas seguintes provas
3673121 Ano: 2025
Disciplina: Matemática
Banca: IBADE
Orgão: Univesp
Em um jardim botânico, a equipe de paisagismo está projetando um novo canteiro de flores em formato retangular. O responsável pelo projeto determinou que o perímetro do canteiro deve ser de 36 cm e que o comprimento seja o dobro da largura. Para calcular a quantidade de terra necessária para preencher o canteiro, a equipe precisa descobrir a área total desse retângulo.
Qual é a área desse canteiro?
 

Provas

Questão presente nas seguintes provas
3673120 Ano: 2025
Disciplina: Matemática
Banca: IBADE
Orgão: Univesp
Em um programa de televisão sobre desafios matemáticos, os participantes devem realizar um experimento de probabilidade ao vivo. O apresentador entrega uma moeda a cada concorrente e explica a regra do desafio:
"Vocês deverão lançar a moeda três vezes consecutivas e, se conseguirem, após os 3 lançamentos, exatamente duas caras, independente da ordem em que aparecerem, avançam para a próxima fase do jogo!"
Assinale a alternativa que corresponde corretamente a probabilidade, de Lucas, um dos competidores obter exatamente duas caras antes de lançar a moeda.
 

Provas

Questão presente nas seguintes provas