Foram encontradas 949 questões.
395145
Ano: 2016
Disciplina: Modelagem de Processos de Negócio (BPM)
Banca: VUNESP
Orgão: Pref. Presidente Prudente-SP
Disciplina: Modelagem de Processos de Negócio (BPM)
Banca: VUNESP
Orgão: Pref. Presidente Prudente-SP
Provas:
O BPMS (Business Process Management Suite) se constitui em uma ambiente cujo foco mais amplo é automatizar, em uma empresa,
Provas
Questão presente nas seguintes provas
114766
Ano: 2016
Disciplina: Modelagem de Processos de Negócio (BPM)
Banca: IESES
Orgão: CRA-SC
Disciplina: Modelagem de Processos de Negócio (BPM)
Banca: IESES
Orgão: CRA-SC
Provas:
Partindo-se da premissa de utilização de insumos
idênticos em processos produtivos, a identificação de
resultados finais divergentes, segundo a abordagem
sistêmica da administração decorre da alteração na(o):
Provas
Questão presente nas seguintes provas
673810
Ano: 2016
Disciplina: Modelagem de Processos de Negócio (BPM)
Banca: CESPE / CEBRASPE
Orgão: FUNPRESP-EXE
Disciplina: Modelagem de Processos de Negócio (BPM)
Banca: CESPE / CEBRASPE
Orgão: FUNPRESP-EXE
Provas:
A respeito da abordagem por processos, julgue o item que se segue.
A BPMN (business process management notalion) é uma ferramenta complexa que auxilia a organização no gerenciamento de grande parte do ciclo de vida do processo de negócio.
A BPMN (business process management notalion) é uma ferramenta complexa que auxilia a organização no gerenciamento de grande parte do ciclo de vida do processo de negócio.
Provas
Questão presente nas seguintes provas
Na figura abaixo usando a notação BPMN apresenta-se um gateway exclusivo. Esse tipo de notação serve para:

Provas
Questão presente nas seguintes provas
Na modelagem de processo usando BPMN existem
diferentes tipos de notações. Como demonstrado na
figura, um gateway exclusivo baseado em evento serve:


Provas
Questão presente nas seguintes provas
As metodologias de diagnóstico e de
planejamento de situações proporcionam ao
dirigente público a necessária capacitação
para o tratamento de problemas em âmbito
público. Qual é a habilidade ou conhecimento
necessário para o diagnóstico de situações?
Provas
Questão presente nas seguintes provas
1017269
Ano: 2015
Disciplina: Modelagem de Processos de Negócio (BPM)
Banca: FCC
Orgão: MPE-PB
Disciplina: Modelagem de Processos de Negócio (BPM)
Banca: FCC
Orgão: MPE-PB
Provas:
Na modelagem de processos, são consideradas regras de negócio a serem estudadas:
Provas
Questão presente nas seguintes provas
Considere o desenho de processo abaixo, o qual deveria seguir a notação BPMN.

Este diagrama representa

Este diagrama representa
Provas
Questão presente nas seguintes provas
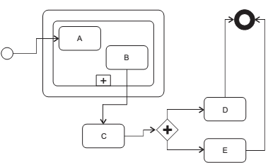
1017267
Ano: 2015
Disciplina: Modelagem de Processos de Negócio (BPM)
Banca: FCC
Orgão: MPE-PB
Disciplina: Modelagem de Processos de Negócio (BPM)
Banca: FCC
Orgão: MPE-PB
Provas:
Na modelagem do processo a seguir usando BPMN 2.0, o responsável pelo desenho tinha por objetivo demonstrar que as atividades
A e B acontecem dentro de um subprocesso e apontar que D e E são ambos executados se a condição que os antecede
for verdadeira.

Pelo propósito descrito, é correto afirmar que o diagrama está

Pelo propósito descrito, é correto afirmar que o diagrama está
Provas
Questão presente nas seguintes provas
Na construção de diagramas para modelagem de processos de negócios, sob o BPMN, retângulos com cantos arredondados representam:
Provas
Questão presente nas seguintes provas
Cadernos
Caderno Container