Foram encontradas 35.976 questões.
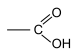
(https://www.infoescola.com/quimica/acidos-carboxilicos/)
Esse grupo químico é encontrado em várias moléculas orgânicas, como
Provas
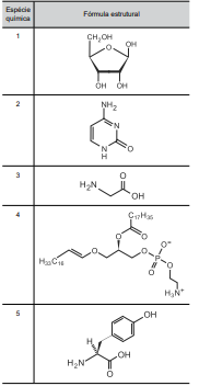
Dentre as espécies químicas da tabela, as de números________ formam ligação peptídica na constituição de proteínas.
A lacuna é preenchida corretamente por
Provas
O elemento representado por X nessa equação é o
Provas
(https://crqsp.org.br/ghs-os-significadosdos-simbolos-dos-rotulos-dos-produtos-quimicos/)
Esse pictograma indica que o produto químico
Provas
Esse composto apresenta grupos funcionais característicos das funções orgânicas
Provas
As substâncias a seguir apresentam-se no estado líquido a 20 ºC e 1 atm.

A interação intermolecular ligação de hidrogênio ocorre na substância de número
Provas
Nessa equação, a soma dos coeficientes estequiométricos para a formação de 1 mol de sulfamida é igual a
Provas
Considere as informações a seguir a respeito da reação entre o iodo na forma gasosa e o gás hidrogênio:

A reação no sentido da formação do composto HI gasoso é ___________ e o equilíbrio reacional é deslocado no sentido da formação desse composto com ______. .
As lacunas são preenchidas, correta e respectivamente, por
Provas
- Interações com Tecnologia, Sociedade e Meio Ambiente
- Química InorgânicaSoluções e Substâncias Inorgânicas
A produção industrial e a queima de combustíveis fósseis causam a emissão de gases poluentes, como CO, NO, SO2 , O3 e NH3 , que interferem na atmosfera de diversas formas.
Dentre esses gases poluentes atmosféricos, o que provoca a elevação do pH da atmosfera local é o gás
Provas
A figura representa uma pilha.

Os potenciais-padrão de redução dos componentes dos eletrodos são:

O eletrodo negativo e o potencial (ddp) dessa pilha, nas condições-padrão, são a placa de
Provas
Caderno Container