Magna Concursos

Foram encontradas 1.069 questões.

2167537 Ano: 2022
Disciplina: Ciências Atuariais
Banca: FUNDATEC
Orgão: IPE Saúde-RS
A provisão constituída em decorrência do direito concedido aos beneficiários de permanecerem no plano de saúde após o falecimento ou desemprego do titular, sem terem que arcar com as contraprestações, por um período de tempo determinado em contrato, é denominada:
 

Provas

Questão presente nas seguintes provas
2167536 Ano: 2022
Disciplina: Ciências Atuariais
Banca: FUNDATEC
Orgão: IPE Saúde-RS
Os bens imóveis, ações, títulos ou valores mobiliários de titularidade da operadora ou do mantenedor da entidade de autogestão, ou de seu controlador, direto ou indireto, ou de pessoa jurídica controlada, direta ou indiretamente, pela própria operadora ou pelo controlador, direto ou indireto, da operadora, que lastreiam as provisões técnicas são denominados de:
 

Provas

Questão presente nas seguintes provas
2167535 Ano: 2022
Disciplina: Ciências Atuariais
Banca: FUNDATEC
Orgão: IPE Saúde-RS
Uma determinada Operadora de Planos de Saúde apresentou no mês de agosto/2020 o valor de R$ 32.897.000,50 referente ao seu Patrimônio Líquido Ajustado. Em contrapartida, apurou-se os montantes para o Capital Regulatório de R$ 12.987.562,88 e de Necessidade de Vinculação das Provisões Técnicas de R$ 2.580.985,66. Pode-se afirmar que o Índice de Capital Regulatório da Operadora é:
 

Provas

Questão presente nas seguintes provas
2161105 Ano: 2022
Disciplina: Ciências Atuariais
Banca: FUNDATEC
Orgão: IPE Saúde-RS
Assinale a alternativa que corresponde ao instrumento cuja finalidade é de restabelecer ao interessado o equilíbrio econômico perturbado pela materialização de algum risco (evento).
 

Provas

Questão presente nas seguintes provas
2161104 Ano: 2022
Disciplina: Ciências Atuariais
Banca: FUNDATEC
Orgão: IPE Saúde-RS
Adotando a formulação pelas comutações subanuais, o cálculo do enunciado 1350425-1, para o benefício de uma renda de R$ 10.000,00 semestral, postecipada, diferida de 10 anos e temporária de 20 anos, é dado pela seguinte formulação:
 

Provas

Questão presente nas seguintes provas
2161103 Ano: 2022
Disciplina: Ciências Atuariais
Banca: FUNDATEC
Orgão: IPE Saúde-RS
Analise as assertivas abaixo:

I. O prêmio puro contempla somente o risco médio.
II. O prêmio de risco é igual ao prêmio puro mais um carregamento de segurança.
III. O prêmio comercial contempla o carregamento para as despesas comerciais, administrativa e margem de lucro.

Quais estão corretas?
 

Provas

Questão presente nas seguintes provas
2161102 Ano: 2022
Disciplina: Ciências Atuariais
Banca: FUNDATEC
Orgão: IPE Saúde-RS
Dentre os princípios de cálculo de prêmios, tem-se o princípio do valor esperado. Sabendo que S representa o valor total dos sinistros e E[S] o valor esperado de sinistros, assinale a alternativa que corresponde ao método de cálculo do prêmio puro através do princípio do valor esperado.
 

Provas

Questão presente nas seguintes provas
2161101 Ano: 2022
Disciplina: Ciências Atuariais
Banca: FUNDATEC
Orgão: IPE Saúde-RS
Considerando que, em 12 meses, um contrato de plano de saúde coletivo empresarial totalizou R$ 19.035.289,30 de receita, R$ 17.257.984,24 de custo assistencial e R$ 1.777.305,06 de resultado financeiro, qual é o seu índice de sinistralidade?
 

Provas

Questão presente nas seguintes provas
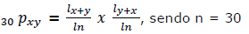
2161100 Ano: 2022
Disciplina: Ciências Atuariais
Banca: FUNDATEC
Orgão: IPE Saúde-RS
Um casal de idade “x” e “y” deseja calcular a probabilidade de atingir os próximos 30 anos vivo. Considerando apenas o risco de morte, a formulação de cálculo a ser utilizada é
 

Provas

Questão presente nas seguintes provas
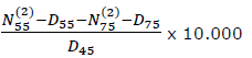
2161099 Ano: 2022
Disciplina: Ciências Atuariais
Banca: FUNDATEC
Orgão: IPE Saúde-RS
Considere que um segurado de 45 anos compra um seguro de vida imediato e vitalício que paga 1 unidade monetária ao final do ano de morte do segurado. Para isso, esse segurado irá pagar, começando no ato da contratação do seguro, um prêmio puro nivelado enquanto viver. Qual, dentre as alternativas a seguir, representa o cálculo da reserva 15V45 pelo método prospectivo considerando que o segurado já chegou vivo à idade de 60 anos?
 

Provas

Questão presente nas seguintes provas