Foram encontradas 64 questões.
O diagrama a seguir mostra os níveis de energia permitidos para elétrons de um certo elemento químico.

Durante a emissão de radiação por este elemento, são observados três comprimentos de onda: !$ λ_A !$, !$ λ_B !$ e !$ λ_C !$.
Sabendo-se que !$ λ_A < λ_B < λ_C !$, pode-se afirmar que !$ \large{ λ_A \over λ_C} !$ é igual a
Provas
Questão presente nas seguintes provas
TEXTO I
MULHER BOAZINHA
(Martha Medeiros)
Qual o elogio que uma mulher adora receber?
Bom, se você está com tempo, pode-se listar aqui uns setecentos: mulher adora que verbalizem seus atributos, sejam eles físicos ou morais.
Diga que ela é uma mulher inteligente, e ela irá com a sua cara.
Diga que ela tem um ótimo caráter e um corpo que é uma provocação, e ela decorará o seu número.
Fale do seu olhar, da sua pele, do seu sorriso, da sua presença de espírito, da sua aura de mistério, de como ela tem classe: ela achará você muito observador e lhe dará uma cópia da chave de casa.
Mas não pense que o jogo está ganho: manter o cargo vai depender da sua perspicácia para encontrar novas qualidades nessa mulher poderosa, absoluta.
Diga que ela cozinha melhor que a sua mãe, que ela tem uma voz que faz você pensar obscenidades, que ela é um avião no mundo dos negócios.
Fale sobre sua competência, seu senso de oportunidade, seu bom gosto musical.
Agora quer ver o mundo cair?
Diga que ela é muito boazinha.
Descreva aí uma mulher boazinha.
Voz fina, roupas pastel, calçados rente ao chão.
Aceita encomendas de doces, contribui para a igreja, cuida dos sobrinhos nos finais de semana.
Disponível, serena, previsível, nunca foi vista negando um favor.
Nunca teve um chilique.
Nunca colocou os pés num show de rock.
É queridinha.
Pequeninha.
Educadinha.
Enfim, uma mulher boazinha.
Fomos boazinhas por séculos.
Engolíamos tudo e fingíamos não ver nada, ceguinhas.
Vivíamos no nosso mundinho, rodeadas de panelinhas e nenezinhos.
A vida feminina era esse frege: bordados, paredes brancas, crucifixo em cima da cama, tudo certinho.
Passamos um tempão assim, comportadinhas, enquanto íamos alimentando um desejo incontrolável de virar a mesa.
Quietinhas, mas inquietas.
Até que chegou o dia em que deixamos de ser as coitadinhas.
Ninguém mais fala em namoradinhas do Brasil: somos atrizes, estrelas, profissionais.
Adolescentes não são mais brotinhos: são garotas da geração teen.
Ser chamada de patricinha é ofensa mortal.
Pitchulinha é coisa de retardada.
Quem gosta de diminutivos, definha.
Ser boazinha não tem nada a ver com ser generosa.
Ser boa é bom, ser boazinha é péssimo.
As boazinhas não têm defeitos.
Não têm atitude.
Conformam-se com a coadjuvância.
PH neutro.
Ser chamada de boazinha, mesmo com a melhor das intenções, é o pior dos desaforos.
Mulheres bacanas, complicadas, batalhadoras, persistentes, ciumentas, apressadas, é isso que somos hoje.
Merecemos adjetivos velozes, produtivos, enigmáticos.
As “inhas” não moram mais aqui.
Foram para o espaço, sozinhas.
(Disponível em: http://pensador.uol.com.br/frase/NTc1ODIy/ acesso em 28/03/14)
Leia os fragmentos abaixo:
Quietinhas, mas inquietas.
Ser boa é bom, ser boazinha é péssimo.
I. O grau superlativo absoluto sintético foi utilizado para estabelecer a diferença entre as mulheres boas e as boazinhas.
II. O paradoxo foi utilizado no primeiro fragmento para ressaltar a complexidade do comportamento feminino por meio da coexistência de aspectos opostos.
III. Ambos os fragmentos apresentam como recursos expressivos o jogo com palavras cognatas e o uso da adversidade.
Estão corretas as alternativas:
Provas
Questão presente nas seguintes provas
Directions: Answer question according to TEXT II.
TEXT II
JOBS OF THE FUTURE

“There is no future in any job. The future lies in the person
who holds the job.” – George W. Crane
One of my primary complaints with higher education is that they tend to prepare students for jobs of the past. Similarly, the best paying jobs of the future are all jobs that currently exist today. Many of them will still exist in the future, but with some changes as technology and communication systems make their impact.
As a rule of thumb, 60% of the jobs 10 years from now haven’t been invented yet. With that in mind, I’ve decided to put together a list of some jobs that will be in high demand in the future.
Jobs before 2020
Many of the changes we see today will cause new jobs to materialize quickly. This first section deals with new positions that will likely be developed within the next 10 years.
3D printing engineers – Classes in 3D printing are already being introduced into high schools and the demand for printer-produced products will rise quickly. The trend will be for these worker-less workshops to enter virtually different fields, at the same time, driving the need for competent technicians and engineers to design and maintain the next wave of this technology.
Nano-medics – Health professionals capable of working on the nano-level, both in designing diagnostics systems, remedies, and monitoring solutions will be in high demand.
Organ agents – The demand for transplantable organs is exploding and people who can track down and deliver healthy organs will be in hot demand.
Octogenarian service providers – As the population continues to age we will have record numbers of people living into their 80s, 90s, and 100s. This growing group of active oldsters will provide a demand for goods and services currently not being addressed in today’s marketplace.
Jobs in 2030 and beyond
A number of technologies currently on the drawing board will require a bit longer lead time before the industry comes into its own. Here are a few examples of these kinds of jobs:
Body part & limb makers – The organ agents listed before will quickly find themselves out of work as soon as we figure out how to efficiently grow and mass produce our own organs from scratch.
Earthquake forecasters – While scientists are developing skills to work with nanoscale precision on the earth’s surface, the best we can know about below the surface is blindfolded guesswork done with 100-mile precision. What we don’t know is literally killing us – over 226,000 killed in 2010 alone. But that will change over time as we begin to understand the inner working of the earth and accurately forecast when the next big quakes are about to hit.
“Heavy air” engineers – Compressed air is useful in a wide variety of ways. However, we have yet to figure out how to compress streams of air as they pass through our existing atmosphere. Once we do, it will create untold opportunity for non-surface based housing and transportation system, weather control, and other kinds of experimentation.
Final thoughts
The jobs and occupations listed above are just scratching the surface. This list is intended to help stretch your imagination and start you down a path of imagining your own future.
(Adapted from http://www.futuristspeaker.com/2011/11/55-jobs-of-the-future)
Read the statements and mark the right option.
I. Universities and colleges prepare students for jobs that already exist.
II. All jobs of the future will be better paid than today's jobs.
III. The majority of future jobs are still unknown.
The correct statement(s) is (are)
Provas
Questão presente nas seguintes provas
Considere o polinômio !$ p(x)=ax^4+bx^3+2x^2+1 !$, !$ \{a,b \} ⊂\, IR !$ e marque a alternativa FALSA.
Provas
Questão presente nas seguintes provas
TEXTO I
MULHER BOAZINHA
(Martha Medeiros)
Qual o elogio que uma mulher adora receber?
Bom, se você está com tempo, pode-se listar aqui uns setecentos: mulher adora que verbalizem seus atributos, sejam eles físicos ou morais.
Diga que ela é uma mulher inteligente, e ela irá com a sua cara.
Diga que ela tem um ótimo caráter e um corpo que é uma provocação, e ela decorará o seu número.
Fale do seu olhar, da sua pele, do seu sorriso, da sua presença de espírito, da sua aura de mistério, de como ela tem classe: ela achará você muito observador e lhe dará uma cópia da chave de casa.
Mas não pense que o jogo está ganho: manter o cargo vai depender da sua perspicácia para encontrar novas qualidades nessa mulher poderosa, absoluta.
Diga que ela cozinha melhor que a sua mãe, que ela tem uma voz que faz você pensar obscenidades, que ela é um avião no mundo dos negócios.
Fale sobre sua competência, seu senso de oportunidade, seu bom gosto musical.
Agora quer ver o mundo cair?
Diga que ela é muito boazinha.
Descreva aí uma mulher boazinha.
Voz fina, roupas pastel, calçados rente ao chão.
Aceita encomendas de doces, contribui para a igreja, cuida dos sobrinhos nos finais de semana.
Disponível, serena, previsível, nunca foi vista negando um favor.
Nunca teve um chilique.
Nunca colocou os pés num show de rock.
É queridinha.
Pequeninha.
Educadinha.
Enfim, uma mulher boazinha.
Fomos boazinhas por séculos.
Engolíamos tudo e fingíamos não ver nada, ceguinhas.
Vivíamos no nosso mundinho, rodeadas de panelinhas e nenezinhos.
A vida feminina era esse frege: bordados, paredes brancas, crucifixo em cima da cama, tudo certinho.
Passamos um tempão assim, comportadinhas, enquanto íamos alimentando um desejo incontrolável de virar a mesa.
Quietinhas, mas inquietas.
Até que chegou o dia em que deixamos de ser as coitadinhas.
Ninguém mais fala em namoradinhas do Brasil: somos atrizes, estrelas, profissionais.
Adolescentes não são mais brotinhos: são garotas da geração teen.
Ser chamada de patricinha é ofensa mortal.
Pitchulinha é coisa de retardada.
Quem gosta de diminutivos, definha.
Ser boazinha não tem nada a ver com ser generosa.
Ser boa é bom, ser boazinha é péssimo.
As boazinhas não têm defeitos.
Não têm atitude.
Conformam-se com a coadjuvância.
PH neutro.
Ser chamada de boazinha, mesmo com a melhor das intenções, é o pior dos desaforos.
Mulheres bacanas, complicadas, batalhadoras, persistentes, ciumentas, apressadas, é isso que somos hoje.
Merecemos adjetivos velozes, produtivos, enigmáticos.
As “inhas” não moram mais aqui.
Foram para o espaço, sozinhas.
(Disponível em: http://pensador.uol.com.br/frase/NTc1ODIy/ acesso em 28/03/14)
O principal objetivo do texto é:
Provas
Questão presente nas seguintes provas
Seja o quadrado ABCD e o ponto E pertencente ao segmento !$ \overline{AB} !$. Sabendo-se que a área do triângulo ADE , a área do trapézio BCDE e a área do quadrado ABCD formam juntas, nessa ordem, uma Progressão Aritmética (P.A.) e a soma das áreas desses polígonos é igual a !$ 800cm^2 !$ , tem-se que a medida do segmento !$ \overline{EB} !$
Provas
Questão presente nas seguintes provas
TEXTO I
MULHER BOAZINHA
(Martha Medeiros)
Qual o elogio que uma mulher adora receber?
Bom, se você está com tempo, pode-se listar aqui uns setecentos: mulher adora que verbalizem seus atributos, sejam eles físicos ou morais.
Diga que ela é uma mulher inteligente, e ela irá com a sua cara.
Diga que ela tem um ótimo caráter e um corpo que é uma provocação, e ela decorará o seu número.
Fale do seu olhar, da sua pele, do seu sorriso, da sua presença de espírito, da sua aura de mistério, de como ela tem classe: ela achará você muito observador e lhe dará uma cópia da chave de casa.
Mas não pense que o jogo está ganho: manter o cargo vai depender da sua perspicácia para encontrar novas qualidades nessa mulher poderosa, absoluta.
Diga que ela cozinha melhor que a sua mãe, que ela tem uma voz que faz você pensar obscenidades, que ela é um avião no mundo dos negócios.
Fale sobre sua competência, seu senso de oportunidade, seu bom gosto musical.
Agora quer ver o mundo cair?
Diga que ela é muito boazinha.
Descreva aí uma mulher boazinha.
Voz fina, roupas pastel, calçados rente ao chão.
Aceita encomendas de doces, contribui para a igreja, cuida dos sobrinhos nos finais de semana.
Disponível, serena, previsível, nunca foi vista negando um favor.
Nunca teve um chilique.
Nunca colocou os pés num show de rock.
É queridinha.
Pequeninha.
Educadinha.
Enfim, uma mulher boazinha.
Fomos boazinhas por séculos.
Engolíamos tudo e fingíamos não ver nada, ceguinhas.
Vivíamos no nosso mundinho, rodeadas de panelinhas e nenezinhos.
A vida feminina era esse frege: bordados, paredes brancas, crucifixo em cima da cama, tudo certinho.
Passamos um tempão assim, comportadinhas, enquanto íamos alimentando um desejo incontrolável de virar a mesa.
Quietinhas, mas inquietas.
Até que chegou o dia em que deixamos de ser as coitadinhas.
Ninguém mais fala em namoradinhas do Brasil: somos atrizes, estrelas, profissionais.
Adolescentes não são mais brotinhos: são garotas da geração teen.
Ser chamada de patricinha é ofensa mortal.
Pitchulinha é coisa de retardada.
Quem gosta de diminutivos, definha.
Ser boazinha não tem nada a ver com ser generosa.
Ser boa é bom, ser boazinha é péssimo.
As boazinhas não têm defeitos.
Não têm atitude.
Conformam-se com a coadjuvância.
PH neutro.
Ser chamada de boazinha, mesmo com a melhor das intenções, é o pior dos desaforos.
Mulheres bacanas, complicadas, batalhadoras, persistentes, ciumentas, apressadas, é isso que somos hoje.
Merecemos adjetivos velozes, produtivos, enigmáticos.
As “inhas” não moram mais aqui.
Foram para o espaço, sozinhas.
(Disponível em: http://pensador.uol.com.br/frase/NTc1ODIy/ acesso em 28/03/14)
Assinale a alternativa que analisa de maneira adequada a figura de linguagem utilizada.
Provas
Questão presente nas seguintes provas
Considere os números complexos !$ z_1=x-i !$, !$ z_2={\large{1 \over 2}}i !$, !$ z_3=-1+2i !$ e !$ z_4=x+yi !$ em que !$ x \, ∈ \, IR !$, !$ y \, ∈ \, IR^*_+ !$ e !$ i^2=-1 !$ e as relações:
I. !$ Re ( \overline{z_1}+\overline{z_2}) \le Im(\overline{z_1}+\overline{z_2}) !$
II. !$ \left\vert z_3.z_4 \right\vert = \sqrt5 !$
O menor argumento de todos os complexos que satisfazem, simultaneamente, as relações I e II é
Provas
Questão presente nas seguintes provas
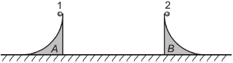
Considere duas rampas A e B, respectivamente de massas 1 kg e 2 kg, em forma de quadrantes de circunferência de raios iguais a 10 m, apoiadas em um plano horizontal e sem atrito. Duas esferas 1 e 2 se encontram, respectivamente, no topo das rampas A e B e são abandonadas, do repouso, em um dado instante, conforme figura abaixo.

Quando as esferas perdem contato com as rampas, estas se movimentam conforme os gráficos de suas posições x, em metros, em função do tempo t, em segundos, abaixo representados.

Desprezando qualquer tipo de atrito, a razão !$ \large{m_1 \over m_2} !$ das massas !$ m_1 !$ e !$ m_2 !$ das esferas 1 e 2, respectivamente, é
Provas
Questão presente nas seguintes provas
Na figura abaixo, tem-se um cubo cuja aresta mede k centímetros; as superfícies !$ S_1 !$ e !$ S_2 !$ , contidas nas faces desse cubo, são limitadas por arcos de circunferências de raio k centímetros e centros em, respectivamente, D e B, H e F.

O volume do sólido formado por todos os segmentos de reta com extremidades em !$ S_1 !$ e !$ S_2 !$, paralelos a !$ \overline{CG} !$ e de bases !$ S_1 !$ e !$ S_2 !$, é, em !$ cm^3 !$, igual a
Provas
Questão presente nas seguintes provas
Cadernos
Caderno Container