Foram encontradas 99 questões.
A qualidade no serviço público é alcançada quando se pratica uma gestão direcionada:
Provas
Uma filosofia da qualidade denominada Kaisen preconiza um sistema contínuo de aprimoramento no serviço público, visando o desenvolvimento e a melhoria dos processos. Para tanto é necessário:
Provas
- Gestão da Informação e ConhecimentoTecnologia e AdministraçãoSIG: Sistemas de Informações Gerenciais
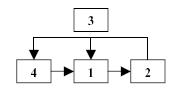
Considere o esquema abaixo como a representação básica dos componentes ou funções em um sistema de informação gerencial. As caixas numeradas representam:

Provas
As etapas do ciclo de vida do desenvolvimento de sistemas de informação são, nesta ordem:
Provas
- PODC: Processo OrganizacionalProcesso Administrativo: OrganizaçãoEstrutura OrganizacionalDepartamentalização
A departamentalização segue alguns critérios ou tipos fundamentais, que são:
Provas
A estrutura organizacional define como as tarefas são formalmente divididas, agrupadas e coordenadas. Assim sendo, existem alguns elementos fundamentais que os gestores precisam considerar quando projetam a estrutura da organização:
Provas
- PODC: Processo OrganizacionalProcesso Administrativo: OrganizaçãoEstrutura OrganizacionalEstrutura Formal e Informal
As organizações formais necessitam descobrir formas eficazes de administração; uma delas é a departamentalização, que pode ser entendida como:
Provas
O capital intelectual, através da gestão do conhecimento, é uma das vantagens competitivas das organizações contemporâneas. Para entender o processo de gestão do conhecimento, é fundamental identificar os tipos de conhecimentos envolvidos. São eles:
Provas
A tecnologia da informação aplicada às organizações permite aperfeiçoamento das formas de trabalho e também a introdução de novas formas e processos, trazendo como conseqüência(s):
Provas
Atualmente, importantes mudanças e novos paradigmas estão transformando o contexto das organizações. Dessa forma, as atuais organizações estão inseridas em um ambiente:
Provas
Caderno Container