Foram encontradas 492 questões.
Considerando os métodos descritivos, julgue o item a seguir.
Para o conjunto de dados {1,1,1,...,1,1,1}, o desvio mediano absoluto, que se define como M = mediana {|Xi - mediana (X1,…,Xn )|}, é positivo.
Provas
Questão presente nas seguintes provas
Julgue o item a seguir, acerca de noções de estatística aplicada ao controle e à melhoria de processos.
Uma avaliação da normalidade de um conjunto de dados amostrais pode ser realizada com base no gráfico de probabilidade normal (normal probability plot) ou Q-Q plot. Em caso de normalidade, o Q-Q plot exibirá uma curva em forma de S, conforme ilustrado na figura abaixo.

Provas
Questão presente nas seguintes provas
Em relação aos métodos de inferência estatística, julgue o item subsequente.
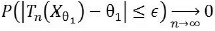
Considere um modelo estatístico cujo único parâmetro θ assuma um dos valores {θ1, θ2, θ3}. Considere, ainda, que Tn (•) seja um estimador do parâmetro que dependa do tamanho amostral n. Nessa hipótese, supondo que !$ X_\theta !$i, !$ i=1,2,3 !$ seja uma amostra gerada com cada valor possível do parâmetro !$ \theta !$, então

e

implicam

Provas
Questão presente nas seguintes provas
Em relação aos métodos de inferência estatística, julgue o item subsequente.
Em um teste de hipóteses para a média de uma distribuição (H0 : μ = μ0), a razão
!$ \mathrm{\Phi={\,\overline{x}\,-\mu_0\over\,\sigma/\,\sqrt{n}}} !$
em que σ denota o desvio padrão populacional, !$ \overline{x} !$ é a média amostral e n representa o tamanho de uma amostra, segue uma distribuição normal padrão, desde que a distribuição populacional seja normal.
Provas
Questão presente nas seguintes provas
- PODC: Processo OrganizacionalProcesso Administrativo: PlanejamentoIntrodução ao Processo de Planejamento
Julgue o item seguinte, a respeito das estratégias de marketing para obtenção de vantagem competitiva.
Na realidade organizacional, para alcançar os objetivos, é preciso definir atividades, formas de controle e recursos necessários para a execução dos cursos de ação. O planejamento tático ou funcional, que é um elo entre a missão da instituição e os cursos de ação definidos pelas áreas, é responsável por esse papel.
Provas
Questão presente nas seguintes provas
Julgue o item a seguir, acerca de processos e da gestão de projetos.
Os impactos que a adoção da gestão de processos ocasiona em uma organização incluem a quebra dos silos e feudos da gestão corporativa tradicional.
Provas
Questão presente nas seguintes provas
Julgue o item subsequente, acerca do processo decisório para solução de problemas organizacionais.
O paradigma de Rubinstein, ou MDPO, é um recurso que permite organizar, em um diagrama, as relações de causa e efeito existentes em um problema. Para tanto, é necessário definir os efeitos, listar as variáveis e identificar os parâmetros, para, então, formular soluções.
Provas
Questão presente nas seguintes provas
Julgue o item a seguir, acerca de processos e da gestão de projetos.
Ao atribuir custos às atividades e, consequentemente, os custos das atividades aos produtos e serviços gerados, a análise de custos pode identificar os maiores consumidores de recursos e as atividades que não agregam valor ao produto.
Provas
Questão presente nas seguintes provas
No que diz respeito à gestão da qualidade e ao modelo da fundação nacional da qualidade, julgue o item seguinte.
A trilogia da qualidade proposta por Joseph M. Juran pode ser aplicada a qualquer tipo de produto ou serviço e está assentada em três processos básicos: planejamento, controle da qualidade e aperfeiçoamento.
Provas
Questão presente nas seguintes provas
- PODC: Processo OrganizacionalProcesso Administrativo: OrganizaçãoIntrodução ao Processo de Organização
Em relação à estrutura organizacional e seus diversos tipos de departamentalização, julgue o item seguinte.
A função de organizar consiste em dividir tarefas entre blocos de trabalhos, denominados departamentos. A departamentalização matricial é uma solução para coordenar recursos multidisciplinares designados para determinado projeto, sem perder, no entanto, a ligação com seu departamento funcional.
Provas
Questão presente nas seguintes provas
Cadernos
Caderno Container