Magna Concursos

Foram encontradas 70 questões.

Nos termos da Lei Estadual n° 10.177/1998, quando outros não estiverem previstos nesta lei ou em disposições especiais, os prazos máximos nos procedimentos administrativos para (i) expedição de notificação ou intimação pessoal e (ii) elaboração e apresentação de informes sem caráter técnico ou jurídico serão, respectivamente, de
 

Provas

Questão presente nas seguintes provas
José é servidor público do Estado de São Paulo e pretende exercer a função de pregoeiro em determinado pregão eletrônico, a ser realizado pelo Estado de São Paulo. Nos termos do Decreto Estadual n° 49.722, de 24/06/2005, para que José possa atuar como pregoeiro
 

Provas

Questão presente nas seguintes provas

Considere:

I. Competência para a edição de atos normativos que regulem direitos e deveres dos administrados.

II. Atribuições inerentes ao caráter político da autoridade.

III. Atribuições recebidas por delegação, ainda que haja autorização expressa permitindo a delegação e ditando os seus termos.

IV. Funções pertencentes ao órgão colegiado.

Nos termos da Lei Estadual n° 10.177/1998, salvo vedação legal, as autoridades superiores poderão delegar a seus subordinados a prática de atos de sua competência. Considerando os itens apresentados, são indelegáveis, dentre outras hipóteses decorrentes de normas específicas, o que consta APENAS em

 

Provas

Questão presente nas seguintes provas
610616 Ano: 2017
Disciplina: Matemática
Banca: FCC
Orgão: ARTESP
Em um experimento, uma planta recebe a cada dia 5 gotas a mais de água do que havia recebido no dia anterior. Se no 65° dia ela recebeu 374 gotas de água, no 1° dia do experimento ela recebeu
 

Provas

Questão presente nas seguintes provas
Uma sala possui área de 50 m2. Se um tapete ocupa 2.000 cm2 da sua área, então, a porcentagem de área da sala não ocupada por esse tapete é igual a
 

Provas

Questão presente nas seguintes provas
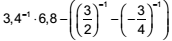
610613 Ano: 2017
Disciplina: Matemática
Banca: FCC
Orgão: ARTESP

A expressão numérica Enunciado 610613-1é igual a

 

Provas

Questão presente nas seguintes provas
A afirmação que corresponde à negação lógica da frase ‘Vendedores falam muito e nenhum estudioso fala alto’ é
 

Provas

Questão presente nas seguintes provas
Um funcionário trabalhava sempre na mesma velocidade ao fazer revisão em arquivos digitais. Uma tarefa foi realizada por esse funcionário em quatro etapas. Na primeira etapa, ele revisou 2/7 do total de arquivos. Na segunda etapa, ele revisou 7/5 do total de arquivos que havia revisado na primeira etapa. Na terceira etapa, ele revisou apenas 3/4 do total de arquivos que havia revisa- do na primeira etapa. Ele terminou a tarefa na quarta etapa e gastou, nesta última etapa, o tempo de 35 minutos. Desse modo, é corre- to calcular que metade da tarefa foi realizada em
 

Provas

Questão presente nas seguintes provas
Sérgio tem algumas notas de 2 reais e algumas moedas de 50 centavos, totalizando R$ 76,00. Somando-se o número de notas de 2 reais com o número de moedas de 50 centavos que ele tem, o resultado é 71. Admitindo-se que suas moedas de 50 centavos sejam idênticas e que tenham massa de 7,81 gramas cada, a massa total das moedas que Sérgio tem, em gramas, é um número que está entre
 

Provas

Questão presente nas seguintes provas
610607 Ano: 2017
Disciplina: Matemática
Banca: FCC
Orgão: ARTESP
Uma peça é fabricada com 3 componentes diferentes. Os fornecedores A, B, C e D possuem esses 3 componentes. O fabricante da peça quer comprar componentes de exatamente dois fornecedores, sorteados aleatoriamente, dentre os quatro. O total de maneiras diferentes de fazer essa compra para a fabricação da peça é igual a
 

Provas

Questão presente nas seguintes provas