Foram encontradas 100 questões.
Em relação à responsabilidade civil do Estado, assinale a afirmativa errada.
Provas
Em relação ao ato administrativo, é correto afirmar:
Provas
O instituto jurídico pelo qual o bem público de uso comum passa a integrar a categoria de bem público dominical denomina-se:
Provas
- Estatística InferencialTeste de Hipóteses
- Estatística InferencialEstimadoresEstimadores de Mínimos Quadrados
As questões 22 e 23 baseiam-se no enunciado seguinte:
Um investigador está interessado em estudar a função consumo de um determinado setor da economia. Com base em seu conhecimento de Teoria Econômica postula que o consumo (C) de interesse deve variar com a renda real percapita do país (R) e com um relativo de preços (P) do setor. Neste contexto observa uma série de 17 observações nessas variáveis ao longo do tempo, obtendo uma seqüência de realizações Ct, Rt e Pt que satisfazem o modelo log-linear log (Ct )=a+b log (Rt)+ dlog(Pt)+vt. Nesta expressão o log é tomado na base neperiana, a, b e d são parâmetros desconhecidos e os vtsão erros não correlacionados, normalmente distribuídos com média zero e variância constante s2>0. Alguns resultados do ajuste desse modelo pelo método de mínimos quadrados são apresentados a seguir:
Tabela de Análise da Variância

Assinale a opção que dá o valor da estatística necessária para o teste da hipótese b
Provas
- Estatística InferencialTeste de HipótesesOutros Testes
- RegressãoRegressão Linear SimplesAnálise de Variância da Regressão Simples
As questões 22 e 23 baseiam-se no enunciado seguinte:
Um investigador está interessado em estudar a função consumo de um determinado setor da economia. Com base em seu conhecimento de Teoria Econômica postula que o consumo (C) de interesse deve variar com a renda real percapita do país (R) e com um relativo de preços (P) do setor. Neste contexto observa uma série de 17 observações nessas variáveis ao longo do tempo, obtendo uma seqüência de realizações Ct, Rt e Pt que satisfazem o modelo log-linear log (Ct )=a+b log (Rt)+ dlog(Pt)+vt. Nesta expressão o log é tomado na base neperiana, a, b e d são parâmetros desconhecidos e os vtsão erros não correlacionados, normalmente distribuídos com média zero e variância constante s2>0. Alguns resultados do ajuste desse modelo pelo método de mínimos quadrados são apresentados a seguir:
Tabela de Análise da Variância

Assinale a opção que dá a estimativa da variação esperada em log (C) decorrente do decréscimo de duas unidades no log (P) e do aumento de uma unidade no log (R).
Provas
- Estatística DescritivaMedidas de DispersãoVariância
- Estatística InferencialTeste de HipótesesAnálise de Variância (ANOVA)
Um profissional da área de recursos humanos está interessado em avaliar o efeito do tipo de firma no salário inicial de uma secretária. Neste contexto tomou uma amostra aleatória de cinco secretárias iniciantes em cada um de três tipos de firma, anotando o salário em reais por mês. O investigador postula que o salário (yij) da j-ésima secretária da iésima firma obedece o modelo linear yij = m+ ai +eij , i=1,2,3; j=1...5. Nesta expressão µ representa uma média populacional, ai é o efeito fixo da firma i e os eij são erros não correlacionados com distribuição normal, média zero e variância constante. Neste contexto obtém a tabela de análise de variância seguinte:

Provas
Um auditor deseja estimar a proporção p de contas incorretamente contabilizadas no processo contábil de uma instituição financeira. Neste contexto decide tomar uma amostra aleatória de tamanho n das contas e estimar p usando a proporção amostral de contas incorretamente contabilizadas. O auditor considera a população de contas infinita e que a proporção amostral tenha distribuição aproximadamente normal com expectância p e variância p(1-p)/n. Supondo variância máxima e que
a função de distribuição da normal padrão, assinale a opção que dá o valor de n que o auditor deve tomar para estimar p com erro não superior a 5% para mais ou para menos com nível de confiança de 95%.
Provas
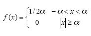
A variável aleatória X tem distribuição de probabilidades do tipo absolutamente contínuo com densidade de probabilidades

Provas
Um analista acredita que a tabela apresentada a seguir é uma descrição satisfatória da distribuição de probabilidades da taxa de retorno de uma certa ação.

Provas
Uma carteira de ações é formada por dois papéis: A e B. Foram feitas as seguintes estimativas para taxas de retorno das duas ações: retorno esperado de A = 10%; retorno esperado de B = 14%; desviopadrão do retorno de A = 6%; desvio-padrão do retorno de B = 7%; correlação entre os retornos de A e de B = 0,20. Sabendo-se que o peso da ação A na carteira é igual a 40%, então o desvio-padrão estimado para o retorno da carteira é igual a:
Provas
Caderno Container