Foram encontradas 60 questões.
4003992
Ano: 2025
Disciplina: Direito Processual Civil
Banca: UNIOESTE
Orgão: Câm. Francisco Beltrão-PR
Disciplina: Direito Processual Civil
Banca: UNIOESTE
Orgão: Câm. Francisco Beltrão-PR
Provas:
Sobre o processo e o procedimento, assinale a alternativa INCORRETA com base no Código de Processo
Civil.
Provas
Questão presente nas seguintes provas
4003991
Ano: 2025
Disciplina: Direito Processual Civil
Banca: UNIOESTE
Orgão: Câm. Francisco Beltrão-PR
Disciplina: Direito Processual Civil
Banca: UNIOESTE
Orgão: Câm. Francisco Beltrão-PR
Provas:
Conforme os dispositivos legais do Código de Processo Civil, assinale a alternativa CORRETA.
Provas
Questão presente nas seguintes provas
4003990
Ano: 2025
Disciplina: Direito Civil
Banca: UNIOESTE
Orgão: Câm. Francisco Beltrão-PR
Disciplina: Direito Civil
Banca: UNIOESTE
Orgão: Câm. Francisco Beltrão-PR
Provas:
Sobre o instituto da prescrição, previsto no Código Civil, assinale a alternativa INCORRETA.
Provas
Questão presente nas seguintes provas
4003989
Ano: 2025
Disciplina: Direito Civil
Banca: UNIOESTE
Orgão: Câm. Francisco Beltrão-PR
Disciplina: Direito Civil
Banca: UNIOESTE
Orgão: Câm. Francisco Beltrão-PR
Provas:
Com base na literalidade dos dispositivos do Código Civil, assinale a alternativa CORRETA.
Provas
Questão presente nas seguintes provas
4003988
Ano: 2025
Disciplina: Legislação Municipal
Banca: UNIOESTE
Orgão: Câm. Francisco Beltrão-PR
Disciplina: Legislação Municipal
Banca: UNIOESTE
Orgão: Câm. Francisco Beltrão-PR
Provas:
Sobre o processo de emancipação de Francisco Beltrão, assinale a alternativa correta:
Provas
Questão presente nas seguintes provas
4003987
Ano: 2025
Disciplina: Atualidades e Conhecimentos Gerais
Banca: UNIOESTE
Orgão: Câm. Francisco Beltrão-PR
Disciplina: Atualidades e Conhecimentos Gerais
Banca: UNIOESTE
Orgão: Câm. Francisco Beltrão-PR
Provas:
O presidente da Câmara dos Deputados eleito para o biênio 2025-2026, em primeiro turno, com 444 votos, foi
o deputado:
Provas
Questão presente nas seguintes provas
O gentílico “potiguar” refere-se aos habitantes de qual estado brasileiro?
Provas
Questão presente nas seguintes provas
Qual das alternativas apresenta corretamente um exemplo de hardware e um exemplo de software,
respectivamente?
Provas
Questão presente nas seguintes provas
4003984
Ano: 2025
Disciplina: TI - Segurança da Informação
Banca: UNIOESTE
Orgão: Câm. Francisco Beltrão-PR
Disciplina: TI - Segurança da Informação
Banca: UNIOESTE
Orgão: Câm. Francisco Beltrão-PR
Provas:
O que é phishing na internet?
Provas
Questão presente nas seguintes provas
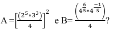
Qual o valor de (A + B), sabendo que 

Provas
Questão presente nas seguintes provas
Cadernos
Caderno Container