Foram encontradas 160 questões.
Disciplina: TI - Desenvolvimento de Sistemas
Banca: Avança SP
Orgão: Câm. Ribeirão Pires-SP
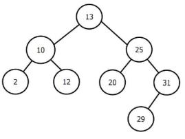
Analise a imagem a seguir de uma árvore binária para responder as próximas 3 questões:

O percurso pré-ordem da árvore binária é:
Provas
Disciplina: TI - Desenvolvimento de Sistemas
Banca: Avança SP
Orgão: Câm. Ribeirão Pires-SP
- Fundamentos de ProgramaçãoEstruturas de DadosDefinição: Estrutura de Dados
- Fundamentos de ProgramaçãoEstruturas de DadosEstrutura de Dados: Fila
Estrutura de dados do tipo FIFO (First in/First out) na qual ambas as extremidades são usadas: uma para adicionar novos elementos e outra para removê-los, e as mudanças tem que ser monitoradas no início e no fim:
Provas
Disciplina: TI - Banco de Dados
Banca: Avança SP
Orgão: Câm. Ribeirão Pires-SP
- Banco de Dados RelacionalCardinalidade de Relacionamentos
- Modelagem de DadosRelacionamentosTipos de Relacionamentos
Sobre relacionamentos em bancos de dados.
Qual dos exemplos a seguir é um relacionamento de muitos para muitos?
Provas
Disciplina: TI - Banco de Dados
Banca: Avança SP
Orgão: Câm. Ribeirão Pires-SP
- Banco de Dados RelacionalDependência Funcional
- Banco de Dados RelacionalNormalizaçãoMinimização de Redundância
- Banco de Dados RelacionalNormalização1FN: Primeira Forma Normal
Analise as afirmações a seguir sobre a primeira forma normal:
Uma tabela está na primeira forma normal se:
I – Somente possuir valores atômicos.
II – Existe uma chave primária.
III – Relação não possui atributos multivalorados.
IV – Não há grupos de atributos repetidos.
Estão corretas as afirmações:
Provas
Disciplina: TI - Banco de Dados
Banca: Avança SP
Orgão: Câm. Ribeirão Pires-SP
- Conceitos e FundamentosConceitos Fundamentais de Banco de Dados
- Banco de Dados RelacionalTipos de ChavesChave Primária
Sabendo como deve ser uma chave primária. Qual dos atributos da Entidade abaixo pode ser considerado como uma chave primária válida?
FUNCIONARIO(IdFuncionario, NomeFuncionario,EnderecoFuncionario, TelefoneFuncionario, DataNascFuncionario)
Provas
Disciplina: TI - Banco de Dados
Banca: Avança SP
Orgão: Câm. Ribeirão Pires-SP
- Modelagem de DadosAtributosTipos de Atributos
- Modelagem de DadosFundamentos de Modelagem de Dados
- Modelagem de DadosModelo Entidade-Relacionamento
Sobre atributos em bancos de dados, das alternativas a seguir, qual NÃO é um tipo válido de atributo?
Provas
Disciplina: TI - Banco de Dados
Banca: Avança SP
Orgão: Câm. Ribeirão Pires-SP
- Conceitos e FundamentosConceitos Fundamentais de Banco de Dados
- Banco de Dados RelacionalFundamentos de Banco de Dados Relacionais
- Modelagem de DadosDiagrama Entidade-Relacionamento (DER)
Em um banco de dados relacional o componente que identifica o objeto de interesse do sistema e tem “vida” própria, ou seja, a representação abstrata de um objeto do mundo real sobre o qual desejamos guardar informações, é conhecida como:
Provas
Disciplina: Direito Tributário
Banca: Avança SP
Orgão: Câm. Ribeirão Pires-SP
I. Os municípios, em casos excepcionais, e mediante lei complementar, poderão instituir empréstimos compulsórios. II. Os municípios poderão instituir contribuições sociais e de intervenção em seu domínio econômico. III. Os municípios poderão instituir taxas sobre o exercício de poder de polícia, as quais, por sua vez, não poderão ter base de cálculo própria de impostos. IV. Os Municípios e o Distrito Federal poderão instituir contribuição, na forma das respectivas leis, para o custeio do serviço de iluminação pública.
Provas
Disciplina: Direito Tributário
Banca: Avança SP
Orgão: Câm. Ribeirão Pires-SP
Provas
Disciplina: Direito Tributário
Banca: Avança SP
Orgão: Câm. Ribeirão Pires-SP
Provas
Caderno Container