Foram encontradas 50 questões.
Um usuário inseriu a fórmula =SE(MAIOR(A1:C2;3)>10;
”OK”;”NOK”) na célula A5, e o resultado foi OK. Assinale
a alternativa que apresenta a planilha que produz esse
resultado.
Provas
Questão presente nas seguintes provas
Em um documento, criado no Microsoft Word 2016, em
sua configuração padrão, um usuário clicou nos ícones
com negrito, itálico e sublinhado, e digitou uma palavra.
Em seguida, com o cursor do mouse no final dessa palavra, o usuário clicou no ícone negrito e depois no ícone
sublinhado. A próxima palavra a ser digitada estará formatada como
Provas
Questão presente nas seguintes provas
Tem-se o seguinte conteúdo da pasta C:TempControle
em um computador com Microsoft Windows 10, sendo
exibido no Explorador de Arquivos, ambos em sua configuração padrão. 
Considerando que a pasta Apresentações está vazia, um usuário executou as seguintes ações.
I. Clicou com o botão primário do mouse sobre a pasta Contrato e, sem soltar o botão do mouse, arrastou a seleção sobre a pasta Apresentações.
II. Clicou com o botão primário do mouse sobre a pasta Documentos e, sem soltar o botão do mouse, arrastou a seleção sobre a pasta Apresentações.
III. Clicou com o botão primário do mouse sobre a pasta Financeiro e, sem soltar o botão do mouse, arrastou a seleção sobre a pasta Apresentações.
IV. Clicou com o botão primário do mouse sobre o arquivo Tarefas.txt e, sem soltar o botão do mouse, arrastou a seleção sobre a pasta Apresentações.
Considerando que todas as ações foram executadas com sucesso, assinale a alternativa com o resultado correto, sobre o conteúdo da pasta Apresentações.

Considerando que a pasta Apresentações está vazia, um usuário executou as seguintes ações.
I. Clicou com o botão primário do mouse sobre a pasta Contrato e, sem soltar o botão do mouse, arrastou a seleção sobre a pasta Apresentações.
II. Clicou com o botão primário do mouse sobre a pasta Documentos e, sem soltar o botão do mouse, arrastou a seleção sobre a pasta Apresentações.
III. Clicou com o botão primário do mouse sobre a pasta Financeiro e, sem soltar o botão do mouse, arrastou a seleção sobre a pasta Apresentações.
IV. Clicou com o botão primário do mouse sobre o arquivo Tarefas.txt e, sem soltar o botão do mouse, arrastou a seleção sobre a pasta Apresentações.
Considerando que todas as ações foram executadas com sucesso, assinale a alternativa com o resultado correto, sobre o conteúdo da pasta Apresentações.
Provas
Questão presente nas seguintes provas
Segundo a Lei nº
10.540/2020, o sistema informatizado
cuja base de dados é compartilhada entre os seus usuários, observadas as normas e os procedimentos de acesso, e que permite a atualização, a consulta e a extração
de dados e de informações de maneira centralizada é o:
Provas
Questão presente nas seguintes provas
As premissas atuariais compreendem premissas demográficas e financeiras. Assinale a alternativa que contém
exemplo de premissa financeira no âmbito da mensuração do superávit ou déficit do RPPS:
Provas
Questão presente nas seguintes provas
Assinale a alternativa correta sobre o Regime Próprio de
Previdência Social.
Provas
Questão presente nas seguintes provas
A transferência dos valores arrecadados à conta específica do Tesouro, responsável pela administração e controle
da arrecadação e programação financeira, observando-
-se o princípio da unidade de tesouraria ou de caixa,
representa a etapa da receita de
Provas
Questão presente nas seguintes provas
Segundo a Lei de Responsabilidade Fiscal, o somatório dos gastos do ente da Federação com os ativos, os
inativos e os pensionistas, relativos a mandatos eletivos,
cargos, funções ou empregos, civis, militares e de membros de Poder, com quaisquer espécies remuneratórias,
tais como vencimentos e vantagens, fixas e variáveis,
subsídios, proventos da aposentadoria, reformas e pensões, inclusive adicionais, gratificações, horas extras e
vantagens pessoais de qualquer natureza, bem como
encargos sociais e contribuições recolhidas pelo ente às
entidades de previdência.
Trata-se do conceito de
Trata-se do conceito de
Provas
Questão presente nas seguintes provas
O anexo, com demonstrativo da compatibilidade da programação dos orçamentos com os objetivos e metas,
deverá estar contido no projeto de lei:
Provas
Questão presente nas seguintes provas
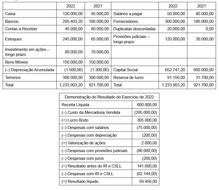
Os dados e informações que se seguem serão utilizados para responder a questão.
A Cia. OK apresentou as seguintes demonstrações contábeis referentes ao exercício de 2022:
Balanço Patrimonial em 31.12.2022

Provas
Questão presente nas seguintes provas
Cadernos
Caderno Container