Foram encontradas 60 questões.
Texto 1
Justiça determina medidas para melhorar combate ao Aedes aegypti em 2 municípios do Oeste de SC
A Vara Única de São Carlos, no Oeste catarinense, determinou medidas para os municípios de São Carlos e Águas de Chapecó intensificarem o combate ao mosquito Aedes aegypti, transmissor de doenças como a dengue, vírus da zika, febre de chikungunya e febre amarela. As prefeituras terão que contratar mais agentes e disponibilizar um veículo exclusivo para essas atividades.
As decisões foram divulgadas pelo Ministério Público de Santa Catarina (MPSC), autor das duas ações, nesta terça-feira (09/04). O G1 não conseguiu contato com as prefeituras. As determinações são liminares (temporárias). A referente a São Carlos é de quarta (03/04) e a relativa a Águas de Chapecó, de 27 de março.
Os dois municípios são considerados pela Diretoria de Vigilância Epidemiológica (Dive-SC) infestados pelo mosquito, como critério relacionado ao número de focos do inseto encontrados. São Carlos e Águas de Chapecó também estão na lista das 32 cidades com alto risco de transmissão das doenças relacionadas à espécie.
No estado, segundo o último boletim da Dive-SC, há 121 casos confirmados de dengue, um de febre de chikungunya e um de febre amarela. Não há pacientes com vírus da zika. O homem que contraiu febre amarela morreu.
Disponível em: <https://g1.globo.com/sc/santa-catarina/noticia
/ 2019/04/09/justica-determina-medidas-para-melhorar-combate- ao-aedes-aegypti-em-2-municipios-do-oeste-de-sc. ghtml>. Acesso em: 06 de set. 2019. [Fragmento adaptado].
Assinale a alternativa correta quanto ao emprego dos pronomes.
Provas
Questão presente nas seguintes provas
Texto 1
Justiça determina medidas para melhorar combate ao Aedes aegypti em 2 municípios do Oeste de SC
A Vara Única de São Carlos, no Oeste catarinense, determinou medidas para os municípios de São Carlos e Águas de Chapecó intensificarem o combate ao mosquito Aedes aegypti, transmissor de doenças como a dengue, vírus da zika, febre de chikungunya e febre amarela. As prefeituras terão que contratar mais agentes e disponibilizar um veículo exclusivo para essas atividades.
As decisões foram divulgadas pelo Ministério Público de Santa Catarina (MPSC), autor das duas ações, nesta terça-feira (09/04). O G1 não conseguiu contato com as prefeituras. As determinações são liminares (temporárias). A referente a São Carlos é de quarta (03/04) e a relativa a Águas de Chapecó, de 27 de março.
Os dois municípios são considerados pela Diretoria de Vigilância Epidemiológica (Dive-SC) infestados pelo mosquito, como critério relacionado ao número de focos do inseto encontrados. São Carlos e Águas de Chapecó também estão na lista das 32 cidades com alto risco de transmissão das doenças relacionadas à espécie.
No estado, segundo o último boletim da Dive-SC, há 121 casos confirmados de dengue, um de febre de chikungunya e um de febre amarela. Não há pacientes com vírus da zika. O homem que contraiu febre amarela morreu.
Disponível em: <https://g1.globo.com/sc/santa-catarina/noticia
/ 2019/04/09/justica-determina-medidas-para-melhorar-combate- ao-aedes-aegypti-em-2-municipios-do-oeste-de-sc. ghtml>. Acesso em: 06 de set. 2019. [Fragmento adaptado].
Assinale a frase escrita de acordo com a norma padrão.
Provas
Questão presente nas seguintes provas
Texto 1
Justiça determina medidas para melhorar combate ao Aedes aegypti em 2 municípios do Oeste de SC
A Vara Única de São Carlos, no Oeste catarinense, determinou medidas para os municípios de São Carlos e Águas de Chapecó intensificarem o combate ao mosquito Aedes aegypti, transmissor de doenças como a dengue, vírus da zika, febre de chikungunya e febre amarela. As prefeituras terão que contratar mais agentes e disponibilizar um veículo exclusivo para essas atividades.
As decisões foram divulgadas pelo Ministério Público de Santa Catarina (MPSC), autor das duas ações, nesta terça-feira (09/04). O G1 não conseguiu contato com as prefeituras. As determinações são liminares (temporárias). A referente a São Carlos é de quarta (03/04) e a relativa a Águas de Chapecó, de 27 de março.
Os dois municípios são considerados pela Diretoria de Vigilância Epidemiológica (Dive-SC) infestados pelo mosquito, como critério relacionado ao número de focos do inseto encontrados. São Carlos e Águas de Chapecó também estão na lista das 32 cidades com alto risco de transmissão das doenças relacionadas à espécie.
No estado, segundo o último boletim da Dive-SC, há 121 casos confirmados de dengue, um de febre de chikungunya e um de febre amarela. Não há pacientes com vírus da zika. O homem que contraiu febre amarela morreu.
Disponível em: <https://g1.globo.com/sc/santa-catarina/noticia
/ 2019/04/09/justica-determina-medidas-para-melhorar-combate- ao-aedes-aegypti-em-2-municipios-do-oeste-de-sc. ghtml>. Acesso em: 06 de set. 2019. [Fragmento adaptado].
Assinale a alternativa em que todas as palavras estão acentuadas com base na mesma regra.
Provas
Questão presente nas seguintes provas
Texto 1
Justiça determina medidas para melhorar combate ao Aedes aegypti em 2 municípios do Oeste de SC
A Vara Única de São Carlos, no Oeste catarinense, determinou medidas para os municípios de São Carlos e Águas de Chapecó intensificarem o combate ao mosquito Aedes aegypti, transmissor de doenças como a dengue, vírus da zika, febre de chikungunya e febre amarela. As prefeituras terão que contratar mais agentes e disponibilizar um veículo exclusivo para essas atividades.
As decisões foram divulgadas pelo Ministério Público de Santa Catarina (MPSC), autor das duas ações, nesta terça-feira (09/04). O G1 não conseguiu contato com as prefeituras. As determinações são liminares (temporárias). A referente a São Carlos é de quarta (03/04) e a relativa a Águas de Chapecó, de 27 de março.
Os dois municípios são considerados pela Diretoria de Vigilância Epidemiológica (Dive-SC) infestados pelo mosquito, como critério relacionado ao número de focos do inseto encontrados. São Carlos e Águas de Chapecó também estão na lista das 32 cidades com alto risco de transmissão das doenças relacionadas à espécie.
No estado, segundo o último boletim da Dive-SC, há 121 casos confirmados de dengue, um de febre de chikungunya e um de febre amarela. Não há pacientes com vírus da zika. O homem que contraiu febre amarela morreu.
Disponível em: <https://g1.globo.com/sc/santa-catarina/noticia
/ 2019/04/09/justica-determina-medidas-para-melhorar-combate- ao-aedes-aegypti-em-2-municipios-do-oeste-de-sc. ghtml>. Acesso em: 06 de set. 2019. [Fragmento adaptado].
Assinale a pergunta que pode ser respondida com base no texto 1.
Provas
Questão presente nas seguintes provas
Texto 1
Justiça determina medidas para melhorar combate ao Aedes aegypti em 2 municípios do Oeste de SC
A Vara Única de São Carlos, no Oeste catarinense, determinou medidas para os municípios de São Carlos e Águas de Chapecó intensificarem o combate ao mosquito Aedes aegypti, transmissor de doenças como a dengue, vírus da zika, febre de chikungunya e febre amarela. As prefeituras terão que contratar mais agentes e disponibilizar um veículo exclusivo para essas atividades.
As decisões foram divulgadas pelo Ministério Público de Santa Catarina (MPSC), autor das duas ações, nesta terça-feira (09/04). O G1 não conseguiu contato com as prefeituras. As determinações são liminares (temporárias). A referente a São Carlos é de quarta (03/04) e a relativa a Águas de Chapecó, de 27 de março.
Os dois municípios são considerados pela Diretoria de Vigilância Epidemiológica (Dive-SC) infestados pelo mosquito, como critério relacionado ao número de focos do inseto encontrados. São Carlos e Águas de Chapecó também estão na lista das 32 cidades com alto risco de transmissão das doenças relacionadas à espécie.
No estado, segundo o último boletim da Dive-SC, há 121 casos confirmados de dengue, um de febre de chikungunya e um de febre amarela. Não há pacientes com vírus da zika. O homem que contraiu febre amarela morreu.
Disponível em: <https://g1.globo.com/sc/santa-catarina/noticia
/ 2019/04/09/justica-determina-medidas-para-melhorar-combate- ao-aedes-aegypti-em-2-municipios-do-oeste-de-sc. ghtml>. Acesso em: 06 de set. 2019. [Fragmento adaptado].
Assinale a alternativa correta em relação ao texto 1.
Provas
Questão presente nas seguintes provas
Um esquema básico de ligação de um seccionador automático é mostrado na figura abaixo.

Fonte: Adaptado de MAMEDE, João Filho; Manual de Equipamentos Elétricos. Rio de Janeiro: LTC, 2015.
O sistema apresenta duas chaves, um seccionador automático e uma chave de by-pass.
Abaixo estão alguns procedimentos de operação.
1. Fechar a chave de by-pass
2. Abrir a chave de by-pass
3. Com a vara de manobra efetuar a abertura do seccionador automático
4. Abertura da chave do lado da carga
5. Abertura da chave do lado da fonte
2. Abrir a chave de by-pass
3. Com a vara de manobra efetuar a abertura do seccionador automático
4. Abertura da chave do lado da carga
5. Abertura da chave do lado da fonte
Assinale a alternativa que apresenta a correta ordem das operações de abertura do circuito para a retirada com segurança do seccionador, e que seja mantida a alimentação da carga.
Provas
Questão presente nas seguintes provas
Seja uma carga trifásica de resistências de 95 ohms conectadas em triângulo. A carga é alimentada por uma rede trifásica equilibrada de 220 V de tensão eficaz de fase. Assinale a alternativa que apresenta corretamente a corrente eficaz de cada fase.
Considere, caso necessário, !$ \sqrt{3} = 1,73 !$ e !$ \sqrt{2} = 1,41 !$
Provas
Questão presente nas seguintes provas
Assinale a alternativa correta, com relação à utilização de condutores isolados na rede elétrica de distribuição secundária.
Provas
Questão presente nas seguintes provas
A figura abaixo mostra parte de uma subestação abrigada com entrada de energia subterrânea:

Fonte: Adaptado de MAMEDE, João Filho; Instalações Elétricas Industriais. – Rio de Janeiro: LTC, 2017.
Assinale a alternativa que relaciona corretamente os itens marcados com as letras A, B e C, respectivamente.
Provas
Questão presente nas seguintes provas
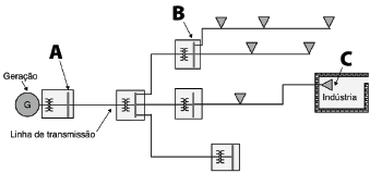
Considere o sistema de geração, transmissão e distribuição apresentado na figura abaixo.

Fonte: Adaptado de MAMEDE, João Filho; Instalações Elétricas Industriais. – Rio de Janeiro: LTC, 2017.
Qual a nomenclatura das subestações marcadas com as letras A, B e C, respectivamente?
Provas
Questão presente nas seguintes provas
Cadernos
Caderno Container