Foram encontradas 1.350 questões.
O circuito mostrado na figura a seguir é composto por um elemento resistivo e outro capacitivo ligados a uma fonte de tensão contínua.

Considere !$ V_i(t) \, = \, A !$ para todo !$ t !$ e que o capacitor está completamente descarregado para !$ t \, < \, 0 !$. A chave do circuito é fechada no intante quando !$ t \, = \, 0 !$ e permanece fechada para !$ t \, > \, 0 !$. A função que descreve a tensão de saída !$ V_0(t) !$ para !$ t \, \ge \, 0 !$ é dada por:
Provas
Sobre conversores Analógico/Digital, analise as afirmativas abaixo:
I. Vários importantes tipos de conversores Analógico Digital possuem conversores Digital Analógico como parte do seu circuito.
II. Os conversores tipo flash são os mais rápidos comparados com as outras topologias, mas requerem um número elevado de componentes eletrônicos em seu circuito.
III. O tempo de conversão de um conversor Analógico Digital do tipo Rampa varia de acordo com a magnitude do sinal que está sendo convertido.
Está correto apenas o que se afirma em:
Provas
O Sistema Elétrico Brasileiro pode ser caracterizado como um sistema hidro-termo-eólico de grande porte com predominância de usinas hidrelétricas centralizadas longe dos centros de consumo. A conexão das fontes geradoras aos centros de carga é realizada por uma extensa malha de transmissão que, por estar exposta às intempéries, é suscetível a falhas.
Neste contexto, a figura a seguir representa uma linha de transmissão submetida a um curtocircuito bifásico-terra.

Considerando as impedâncias de falta e ao solo nulas, sabendo que Vth é a tensão de sequência positiva e que as impedâncias nas sequências zero, positiva e negativa são: Z0, Z1 e Z2, respectivamente, assinale a opção correta a respeito das correntes de fase:
Provas
A rigidez dielétrica de um material isolante corresponde ao campo elétrico máximo que pode ser aplicado nele sem que as suas propriedades dielétricas sejam perdidas. Caso haja a aplicação de um campo elétrico mais intenso que esse nível, o meio isolante passa por um processo chamado de ruptura da rigidez dielétrica, que o torna um meio condutor.
Considere, então, um capacitor esférico cujas placas interna e externa possuam raios iguais a, respectivamente, 1 mm e 5 mm. A permissividade elétrica do dielétrico que preenche o espaço entre as placas do capacitor é igual a !$ 5\varepsilon_0 !$, onde !$ \varepsilon_0 !$ corresponde à permissividade elétrica do vácuo e é aproximadamente igual a 8,854×10-12 F/m.
Se a rigidez dielétrica desse material isolante vale 5000 kV/m, a opção que indica a máxima tensão à qual este capacitor pode ser submetido é:
Provas
A figura a seguir ilustra 4 diagramas fasoriais que representam pontos de operação de máquinas síncronas.
Desprezou-se a resistência de armadura em todos os casos. As grandezas tensão de excitação, tensão terminal e corrente de armadura são representadas por !$ Ef, \,\, Vt !$ e !$ la !$, respectivamente. A reatância síncrona é representada por !$ xs. !$

O diagrama fasorial que representa um motor síncrono sobre-excitado é:
Provas
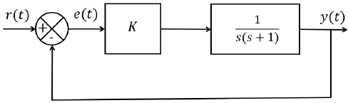
Considere um sistema realimentado com um controlador tipo proporcional apresentado no diagrama de blocos na figura abaixo. Ao se aplicar um sinal !$ r(t) !$ do tipo degrau com amplitude finita, é esperado que o valor do sinal de erro !$ e(t) !$, em regime permanente, convirja para:

Ao se aplicar um sinal !$ r(t) !$ do tipo degrau com amplitude finita, é esperado que o valor do sinal de erro !$ e(t) !$, em regime permanente, convirja para:
Provas
A figura abaixo apresenta um circuito digital típico, utilizando flip flops JK, que possuem seus terminais de entrada J e K ligados a nível lógico 1.

Considerando o sinal de clock com frequência de 1200 Hz, é correto afirmar que a frequência do sinal em D será de:
Provas
Os ambientes industriais devem ser suficientemente iluminados de forma a se obter um bom rendimento na execução das tarefas, bem como proporcionar segurança aos trabalhadores.
Com relação ao cálculo de iluminação, analise as seguintes alternativas:
I. O método dos lumens é um método menos preciso, porém de simples obtenção.
II. O método das cavidades sazonais é um método criterioso, proporcionando resultados confiáveis.
III. O método das intensidades luminosas permite calcular o iluminamento em qualquer ponto da superfície de trabalho a partir do iluminamento individual dos aparelhos.
Está correto apenas o que se afirma em:
Provas
Disciplina: Segurança e Saúde no Trabalho (SST)
Banca: DIRENS Aeronáutica
Orgão: CIAAR
A Norma Regulamentadora de Segurança em Instalações e Serviços em Eletricidade, NR10, estabelece requisitos e condições mínimas para garantir a segurança e saúde de trabalhadores que atuam em serviços com eletricidade.
Com relação à Habilitação, Qualificação, Capacitação e Autorização desses trabalhadores, analise as seguintes afirmativas:
I. É suficiente para se considerar um profissional legalmente habilitado, a qualificação prévia do trabalhador pelo Sistema Oficial de Ensino, em curso específico na área elétrica.
II. É suficiente para se considerar um trabalhador qualificado a comprovação da conclusão de curso específico na área elétrica reconhecido pelo Sistema Oficial de Ensino.
III. É suficiente para se considerar um trabalhador capacitado o fato de ele trabalhar sob a responsabilidade de profissional habilitado e autorizado.
Está correto apenas o que se afirma em:
Provas
Um motor CC em derivação de 10 HP, 200 V, 1200 rpm e equipado com enrolamento de compensação foi instalado em uma indústria. As resistências de armadura e de campo são 0,5 !$ \Omega !$ e 100 !$ \Omega !$, respectivamente. Sabe-se que, quando a máquina é alimentada com 200 V, a corrente da rede é de 42 A e a velocidade é 1100 rpm para atender uma determinada carga.
A velocidade do motor quando a corrente da rede de entrada for 24 A é:
Provas
Caderno Container