Foram encontradas 2.625 questões.
Considere que uma variável aleatória bidimensional (X, Y) possua função de densidade conjunta f(x, y) = 2, se 0 \( \le \) x\( \le \) \( \le \) 1; e f(x, y) = 0 para outros valores de x e y. Com base nessas informações, julgue o próximo item.
A variável aleatória X tem valor esperado igual a 1/3 e variância igual a 1/18.
Provas

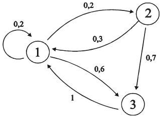
Considerando que uma cadeia de Markov seja representada pelo
dígrafo ilustrado acima, julgue os itens a seguir.
Provas

Considerando que uma cadeia de Markov seja representada pelo dígrafo ilustrado acima, julgue o item a seguir.
Para a cadeia de Markov representada pelo dígrafo mostrado acima, a matriz fundamental é expressa por
\( N = { \begin{pmatrix} 7/4\,\,1\,\,5/4\\5/4\,\,2\,\,7/4\\1\,\,\,1\,\,\,1\,\,\,2 \end{pmatrix}} \)
Provas

Considerando que uma cadeia de Markov seja representada pelo dígrafo ilustrado acima, julgue o item a seguir.
A cadeia de Markov representada pelo dígrafo acima é absorvente e a matriz de transição P, na forma canônica, tem a representação mostrada a seguir, em que cada elemento pi,j representa a probabilidade de transição do estado i para o estado j.
\( P = { \begin{pmatrix} Q\,\,R\\0\,\,\,I \end{pmatrix}}= { \begin{pmatrix} 0\,\,1/3\,\,1/3\,\,0\,\,1/3\\1/3\,\,0\,\,2/3\,\,0\,\,0\\1/3\,\,1/3\,\,0\,\,1/6\,\,1/6\\0\,\,\,\,0\,\,\,\,0\,\,\,\,1\,\,\,\,0\\0\,\,\,\,0\,\,\,\,0\,\,\,\,0\,\,0\,\,\,\,0\,\,\,\,1 \end{pmatrix}} \)
Provas

Considerando que uma cadeia de Markov seja representada pelo
dígrafo ilustrado acima, julgue os itens a seguir.
Provas
Uma cadeia de Markov é denominada irredutível (ou ergódica) caso qualquer estado possa ser transformado em qualquer outro estado, não necessariamente em um único passo. Uma cadeia de Markov com matriz de transição P é regular caso exista um número inteiro positivo n tal que todos os elementos da matriz potência \(P^n\) sejam estritamente positivos.
Julgue os seguintes itens a respeito desses conceitos.
O dígrafo abaixo representa uma cadeia de Markov regular.

Provas
(ou ergódica) caso qualquer estado possa ser transformado em
qualquer outro estado, não necessariamente em um único passo.
Uma cadeia de Markov com matriz de transição P é regular caso
exista um número inteiro positivo n tal que todos os elementos da
matriz potência \(P^n\) sejam estritamente positivos.
Julgue os seguintes itens a respeito desses conceitos.

A partir dessas informações, é correto afirmar que a matriz P é a matriz de transição de uma cadeia de Markov regular.
Provas
(ou ergódica) caso qualquer estado possa ser transformado em
qualquer outro estado, não necessariamente em um único passo.
Uma cadeia de Markov com matriz de transição P é regular caso
exista um número inteiro positivo n tal que todos os elementos da
matriz potência \(P^n\) sejam estritamente positivos.
Julgue os seguintes itens a respeito desses conceitos.

Em face dessas informações, é correto afirmar que a matriz P é a matriz de transição de uma cadeia de Markov irredutível.
Provas
Uma cadeia de Markov é denominada irredutível (ou ergódica) caso qualquer estado possa ser transformado em qualquer outro estado, não necessariamente em um único passo. Uma cadeia de Markov com matriz de transição P é regular caso exista um número inteiro positivo n tal que todos os elementos da matriz potência Pn sejam estritamente positivos.
Julgue o seguinte item a respeito desses conceitos.
Algum elemento da matriz de transição P de uma cadeia de Markov regular pode ser zero.
Provas
, em que x é o número de falhas, e é o número de Napier e Provas
Caderno Container