Magna Concursos

Foram encontradas 1.405 questões.

173144 Ano: 2013
Disciplina: Engenharia Química
Banca: CESPE / CEBRASPE
Orgão: CPRM
Nos processos de manipulação de sólidos realizados na indústria
química, a análise da granulometria dos sólidos permite conhecer propriedades importantes, tais como a atividade catalítica de um catalisador sólido. No que se refere a esse assunto, julgue os itens de 47 a 49 .
Na análise diferencial de um sistema particulado que utiliza peneiras, a granulometria de uma partícula equivale à medida do valor da abertura da malha onde essa partícula ficou retida.
 

Provas

Questão presente nas seguintes provas
173143 Ano: 2013
Disciplina: Engenharia Química
Banca: CESPE / CEBRASPE
Orgão: CPRM
Nos processos de manipulação de sólidos realizados na indústria
química, a análise da granulometria dos sólidos permite conhecer propriedades importantes, tais como a atividade catalítica de um catalisador sólido. No que se refere a esse assunto, julgue os itens de 47 a 49 .
Na utilização de peneiras rotativas do tipo da mostrada na figura abaixo, não é recomendável operar a velocidade maiores que as máximas estipuladas para evitar a trituração da fração grosseira.
Enunciado 173143-1
 

Provas

Questão presente nas seguintes provas
173142 Ano: 2013
Disciplina: Engenharia Química
Banca: CESPE / CEBRASPE
Orgão: CPRM
Acerca da primeira e da segunda lei da termodinâmica, jugue os itens subsequentes.
A primeira lei da termodinâmica descreve o balanço energético em um processo termodinâmico, ou seja, a relação entre a variação da energia interna do sistema, o calor adicionado ou removido do sistema e o trabalho realizado pelo ou sobre o sistema.
 

Provas

Questão presente nas seguintes provas
173141 Ano: 2013
Disciplina: Engenharia Química
Banca: CESPE / CEBRASPE
Orgão: CPRM
Ainda com relação a bombas, julgue os itens subsecutivos.
Enunciado 173141-1
A curva característica de um sistema de duas bombas em série é obtida somando-se as vazões e mantendo-se constante a pressão fornecida pelas bombas.
 

Provas

Questão presente nas seguintes provas
173140 Ano: 2013
Disciplina: Engenharia Química
Banca: CESPE / CEBRASPE
Orgão: CPRM
Com relação à classificação dos reatores e aos princípios de cálculos dos reatores ideais, julgue os itens seguintes.
Os reatores ideais têm três modos de contato ou de escoamento ideal: descontínuo ou em batelada; escoamento pistonado; e escoamento com mistura perfeita.
 

Provas

Questão presente nas seguintes provas
173139 Ano: 2013
Disciplina: Engenharia Química
Banca: CESPE / CEBRASPE
Orgão: CPRM
As bombas que impulsionam fluidos incompressíveis (líquidos) são
dispositivos de elevada importância na indústria química, pois seu correto dimensionamento influencia, de forma relevante, o balanço econômico da planta de processo. Com relação a esse assunto, julgue os itens que se seguem.
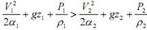
Considere que, na seção 1 de um tubo entre um fluido e que esse fluido saia pela seção 2 desse mesmo tubo. Considere, ainda, que, após aplicação do balanço de energia, seja estabelecida a seguinte relação:
Enunciado 173139-1
Em que V é a velocidade do fluido a, o parâmetro que correlaciona a velocidade eficaz à velocidade média de circulação do fluido (α 1 α 2 );g, ace leração da gravidade; z , a posição de cada seção da tubulação; P , a pressão; e p, a densidade do fluido. Assuma que os índices 1 e 2 subscritos referem-se, respectivamente, às seções 1 e 2 da tubulação. Nessa situação, o fluido circulará espontaneamente, não sendo necessário o uso de uma bomba.
 

Provas

Questão presente nas seguintes provas
173138 Ano: 2013
Disciplina: Engenharia Química
Banca: CESPE / CEBRASPE
Orgão: CPRM
A psicrometria, que estuda a interação ar-água, é de grande utilidade no desenho de sistemas de umidificação, desumidificação e de torres de resfriamento. Com referência a essse assunto, julgue
os seguintes itens.
O ponto de orvalho, parâmetro característico das misturas ar- água, representa a temperatura na qual aparece a primeira bolha de vapor em uma mistura líquida.
 

Provas

Questão presente nas seguintes provas
173137 Ano: 2013
Disciplina: Engenharia Química
Banca: CESPE / CEBRASPE
Orgão: CPRM
Fluidos compressíveis constituídos fundamentalmente por gases e vapores são amplamente empregados na indústria química. Acerca desse assunto, julgue os itens a seguir.
A utilização da equação de gás ideal permite determinar a relação entre a pressão e a densidade do gás, em toda a faixa de pressões, para um fluido compressível.
 

Provas

Questão presente nas seguintes provas
173136 Ano: 2013
Disciplina: Engenharia Química
Banca: CESPE / CEBRASPE
Orgão: CPRM
Considerando que os processos de destilação permitem realizar a separação de dois ou mais componentes em função de diferenças nas volatilidades relativas desses componentes, julgue os itens
subsequentes.
O diagrama abaixo, em que L-V representa a região de equilíbrio líquido-vapor, ilustra corretamente a variação de pressão em função da fração molar de vapor e líquido para uma substância pura.
Enunciado 173136-1
 

Provas

Questão presente nas seguintes provas
173135 Ano: 2013
Disciplina: Engenharia Química
Banca: CESPE / CEBRASPE
Orgão: CPRM
Existe um bloco de operações unitárias fundamentadas na ação de forças físico-mecânicas que atuam sobre partículas, líquidos ou misturas de ambos, e não necessariamente sobre moléculas individuais, tal como ocorre na filtração, na sedimentação e na centrifugação. No que diz respeito a esse tema, julgue os itens subsequentes.
Ao se operar com material compressível com risco de obturação do meio filtrante, deve-se adicionar, em todas as situações, um segundo material, denominado de coadjuvante, para a manutenção da porosidade elevada da torta sólida em formação.
 

Provas

Questão presente nas seguintes provas