Magna Concursos

Foram encontradas 1.405 questões.

173165 Ano: 2013
Disciplina: Gestão de Pessoas
Banca: CESPE / CEBRASPE
Orgão: CPRM
Enunciado 173165-1
A gestão da diversidade cultural, um dos desafios da gestão de pessoas, consiste na valorização da diversidade no trabalho, fomentando o respeito mútuo, promovendo as diversas culturas e tratando com seriedade os colaboradores.
 

Provas

Questão presente nas seguintes provas
173164 Ano: 2013
Disciplina: Contabilidade de Custos
Banca: CESPE / CEBRASPE
Orgão: CPRM
Enunciado 173164-1
A tabela acima apresenta os registros contábeis de uma empresa prestadora de serviços de limpeza urbana. A frota dessa empresa, constituída por seis caminhões financiados junto a um banco e avaliada em R$ 480 mil, será descartada como sucata após trinta meses de vida útil.
Considerando essas informações, julgue os itens subsequentes.
O resultado financeiro da empresa foi de R$ 1.000, e o resultado econômico, de R$ 17.000
 

Provas

Questão presente nas seguintes provas
173163 Ano: 2013
Disciplina: Contabilidade de Custos
Banca: CESPE / CEBRASPE
Orgão: CPRM
Quando a soma das margens de contribuição se mostram suficientes para cobrir todos os custos e despesas fixos, tem-se determinado o ponto de equilíbrio. A respeito da relação custo, volume e lucro, julgue o item seguinte.
Considere que uma empresa tenha elaborado diversos produtos, com custos e despesas variáveis diferençados para cada um desses produtos. Nessa situação, não será possível calcular o ponto de equilíbrio global dessa empresa.
 

Provas

Questão presente nas seguintes provas
173162 Ano: 2013
Disciplina: Contabilidade de Custos
Banca: CESPE / CEBRASPE
Orgão: CPRM
A permanência de determinado produto no mercado advém da coleta sistemática de informações relevantes à gestão do custo desse produto. A respeito dos custos para a tomada de decisão, julgue o item a seguir.
A margem de contribuição individualiza a potencialidade de cada produto e contribui tanto para a amortização dos gastos fixos quanto para a formação do próprio lucro.
 

Provas

Questão presente nas seguintes provas
173160 Ano: 2013
Disciplina: Ética na Administração Pública
Banca: CESPE / CEBRASPE
Orgão: CPRM
Enunciado 173160-1
Os atos inerentes à conduta do servidor em sua vida privada não podem influenciar o seu bom conceito na vida funcional, já que o exercício da função pública não se confunde com a vida particular de cada servidor.
 

Provas

Questão presente nas seguintes provas
173159 Ano: 2013
Disciplina: Ética na Administração Pública
Banca: CESPE / CEBRASPE
Orgão: CPRM
Enunciado 173159-1
Considere que determinado servidor público não mantenha limpo e em ordem o seu local de trabalho, por não conseguir aplicar métodos adequados à organização. Nessa situação, o servidor não estará atendendo a um de seus deveres funcionais, expressamente previsto no Código de Ética.
 

Provas

Questão presente nas seguintes provas
173158 Ano: 2013
Disciplina: Ética na Administração Pública
Banca: CESPE / CEBRASPE
Orgão: CPRM
Enunciado 173158-1
Considere que determinado servidor público tenha retirado da repartição pública bem pertencente ao patrimônio público. Nessa situação, deverá ser penalizado, já que o Código de Ética veda ao servidor, em caráter absoluto, a retirada da repartição pública de qualquer bem pertencente ao acervo patrimonial do poder público.
 

Provas

Questão presente nas seguintes provas
173157 Ano: 2013
Disciplina: Engenharia Química
Banca: CESPE / CEBRASPE
Orgão: CPRM
Com relação à classificação dos reatores e aos princípios de cálculos dos reatores ideais, julgue os itens seguintes.
Em reatores que operam em modo semicontínuo, os reagentes são inicialmente carregados no reator e, em seguida, misturados. A reação ocorre durante certo período de tempo e a mistura resultante é, então, descarregada.
 

Provas

Questão presente nas seguintes provas
173156 Ano: 2013
Disciplina: Engenharia Química
Banca: CESPE / CEBRASPE
Orgão: CPRM
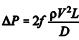
Considerando que, no escoamento de um fluido por qualquer meio, apareçam perdas associadas ao atrito, julgue os itens seguintes.
Considere que f seja o fator de atrito; p, a densidade do fluido; V , a velocidade de circulação desse fluido; L , o comprimento; e D , o diâmetro da tubulação. Nessa situação, a perda de carga ΔP, aplicável a qualquer tipo de tubulação, no caso de escoamento turbulento, pode ser calculada pela equação Enunciado 173156-1 .
 

Provas

Questão presente nas seguintes provas
173155 Ano: 2013
Disciplina: Engenharia Química
Banca: CESPE / CEBRASPE
Orgão: CPRM
Julgue os itens a seguir, no que concerne aos balanços de massa e energia, que são fundamentais na definição global de um processo químico-industrial.
No balanço de energia em um processo exotérmico, o termo de geração associado ao calor gerado em processos reativos terá uma contribuição negativa para o processo.
 

Provas

Questão presente nas seguintes provas