Foram encontradas 50 questões.
498415
Ano: 2012
Disciplina: Direito da Criança e do Adolescente
Banca: CEPERJ
Orgão: DEGASE
Disciplina: Direito da Criança e do Adolescente
Banca: CEPERJ
Orgão: DEGASE
Provas:
Consoante o Estatuto da Criança e do Adolescente, quanto à colocação, em família substituta, de criança proveniente de comunidade remanescente de quilombo, é correto afirmar que deve ser preferentemente:
Provas
Questão presente nas seguintes provas
498411
Ano: 2012
Disciplina: Direito da Criança e do Adolescente
Banca: CEPERJ
Orgão: DEGASE
Disciplina: Direito da Criança e do Adolescente
Banca: CEPERJ
Orgão: DEGASE
Provas:
- ECAGeralDireitos Fundamentais (art. 7º ao 69)Do Direito à Liberdade, ao Respeito e à Dignidade (Art. 15 a 18-B)
O direito ao respeito consiste na inviolabilidade da integridade física, psíquica e moral da criança e do adolescente e não abrange a preservação de:
Provas
Questão presente nas seguintes provas
498410
Ano: 2012
Disciplina: Direito da Criança e do Adolescente
Banca: CEPERJ
Orgão: DEGASE
Disciplina: Direito da Criança e do Adolescente
Banca: CEPERJ
Orgão: DEGASE
Provas:
- ECAGeralDireitos Fundamentais (art. 7º ao 69)Do Direito à Convivência Familiar e Comunitária (arts. 19 ao 52-D)Da Família Substituta (arts. 28 ao 52-D)Da Guarda (Art. 33 a 35)
. É correto afirmar, consoante as regras do Estatuto da Criança e do Adolescente, que a colocação em família substituta pode ser realizada por:
Provas
Questão presente nas seguintes provas
498407
Ano: 2012
Disciplina: Direito da Criança e do Adolescente
Banca: CEPERJ
Orgão: DEGASE
Disciplina: Direito da Criança e do Adolescente
Banca: CEPERJ
Orgão: DEGASE
Provas:
Em casos de maus-tratos a crianças ou adolescentes, consoante as regras do Estatuto da Criança e do Adolescente, deve-se comunicar o fato ao:
Provas
Questão presente nas seguintes provas
. Considere um dado não viciado, com 6 faces numeradas de 1 a 6. A probabilidade de sair um número maior do que 4 ao se lançar esse dado é:
Provas
Questão presente nas seguintes provas
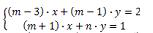
Para que o sistema de equações
admita infinitas soluções para x e y, m e n devem valer, respectivamente:
admita infinitas soluções para x e y, m e n devem valer, respectivamente:Provas
Questão presente nas seguintes provas
Uma quantidade X é dada pela expressão:

Desse modo, X é igual a:

Desse modo, X é igual a:
Provas
Questão presente nas seguintes provas
Observe a figura abaixo, onde o símbolo “//” indica segmentos paralelos.

A altura h vale:

A altura h vale:
Provas
Questão presente nas seguintes provas
Observe atentamente o retângulo abaixo, no interior do qual se encontra um polígono ABCD:

A área hachurada vale:

A área hachurada vale:
Provas
Questão presente nas seguintes provas

Provas
Questão presente nas seguintes provas
Cadernos
Caderno Container