Foram encontradas 50 questões.
Considerando a técnica de Espectroscopia na Região do Infravermelho com transformada de Fourier (FT-IR), é correto afirmar que
Provas
Faltando alguns dias para seu show no Brasil, a cantora Beyonce descoloriu os pelos de seus braços com água oxigenada 10 volumes. Só que, ao passar o produto sobre a pela, a cantora sentiu que sua pele começou a arder, o produto foi mandado para análise e notou-se que o mesmo estava adulterado. O teor de peróxido de hidrogênio estava acima do permitido.
No laboratório o químico responsável com o auxílio de uma pipeta volumétrica transferiu 5 mL da água oxigenada de concentração 10 volumes para um balão volumétrico de 250 mL, e completou o volume do balão com água destilada. Desta solução foi transferido 25 mL para um Erlenmeyer de 250 mL, diluído com 45 mL de água destilada e adicionado 35 mL de ácido sulfúrico . Em seguida, a solução foi titulada com KMnO4 de concentração 0,02 mol/L sendo gastos 50 mL. Sendo assim, qual foi o teor de H2O2 expresso em % encontrado pelo químico na água oxigenada que causou a queimadura na pele da cantora?
Reação não balanceada:
KMnO4 + H2SO4 + H2O2 \( \rightarrow \) K2SO4 + MnSO4 + H2O + O2
Dado:
Massas Molares em g/mol: KMnO4 = 158,0339;
H2SO4 = 98,0785 ; H2O2 = 34,0146 ;K2SO4 = 174,2592;
MnSO4 = 151,0006 ; H2O = 18,0153; O2 = 31,9988.
Provas
Em uma titulação de neutralização um volume de 80 mL de HCl a 0,200 mol.L-1 foi titulado com NaOH 0,200 mol.L-1 e como indicador foi utilizado vermelho de metila. Considerando essas informações, e sabendo que o pH final da solução é igual a 3,00. Qual foi o erro da titulação encontrado?
Provas
A cromatografia envolve uma série de processos de separação de misturas, acontece pela passagem de uma mistura através de duas fases: uma estacionária e outra móvel. A interação dos componentes de uma mistura com estas duas fases é influenciado por diferentes forças intermoleculares, incluindo iônica, bipolar, apolar e específicos efeitos de afinidade e solubilidade.
A cromatografia pode ser utilizada para a identificação de compostos por comparação com padrões previamente existentes, para a purificação de compostos, separando-se as substâncias indesejáveis e para a separação dos componentes de uma mistura. Sobre tal assunto e sobre os tipos de cromatografia, assinale a alternativa correta.
Provas
Assinale a alternativa correta.
Provas
“CuCl2 é o composto de cobre (II), o mais comum após o sulfato de cobre. O CuCl2 anidro tem a estrutura destorcida do iodeto de cádmio e é paramagnético. Historicamente, a primeira medição, em 1944, de ressonância paramagnética eletrônica foi feita sobre CuCl2. nH2O por Yevgeny Zavoisky”
F o n t e : h t t p : / / p t . s h v o o n g . c o m / e x a c t - s c i e n c e s / chemistry/2152663-cloreto-cobre-ii/#ixzz2TjvZqz9W,acesso em 19/05/2013.
Se 0,1622g de CuCl2.nH2O fornecem 0,1280g do composto seco, qual será a fórmula do composto hidratado?
(MM: Cu = 63,546 g/mol ; Cl = 35,453 g/mol ; H = 1,00794 g/mol ; O = 15,9994 g/mol)
Provas
Certa fabricante de talco para os pés da China desconfiou que seus produtos estivessem adulterados com um excesso de zinco. Então foi recolhida uma amostra totalizando 0,600 g de talco e após a abertura da amostra foi feito uma titulação de complexação com EDTA 0,015 mol/L sendo gastos 39,5 mL. Sabendo que a porcentagem de Zn permitida por lei na China é entre 5 a 10%. Pode-se se concluir que (MM Zn = 65,38 g/mol)
Provas
Certo laboratório de análise química foi designado para calcular a % (m/m) de uma amostra de sal marinho (NaCl) recolhido do mar da Galileia. Era sabido que a amostra continha certas impurezas. A tal amostra foi pesada foi após ter sido seca em estufa, obtendo-se um peso de 0,8764g da mesma. Após ter sido dissolvida em água, a titulação ocorreu pelo método Mohr, e foi gasto 36,20 mL de uma solução padrão de AgNO3 0,200 mol/L. Sendo assim, pode-se concluir que a % de cloreto no sal marinho (m/m) colhida foi de MM: Cl = 35,453 g.mol-1.
Provas
Preencha as lacunas e assinale a alternativa correta.
A ozonólise é a reação de alcenos e ozônio, O3(g), catalisada pelo zinco metálico, Zn(s). Se o carbono da dupla ligação do alceno for primário ou secundário, forma-se um __________; mas se ele por terciário, o produto será uma __________.
Provas
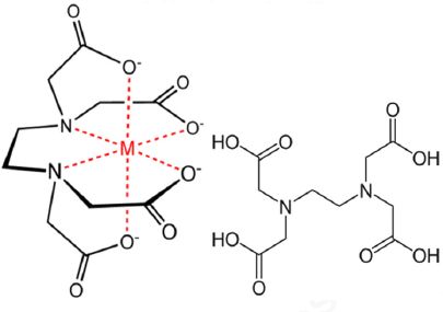
No contexto da química de coordenação, o termo complexo significa um átomo metálico ou íon central rodeado por um conjunto de ligantes. Um ligante é um íon ou molécula que pode ter existência independente. O esquema a seguir indica o ligante ácido etilenodiaminotetraacético, na forma do seu ânion:
[edta, (O2CCH2)2NCH2CH2N(CH2CO2-)2].

Em relação a esta estrutura, pode-se afirmar que
Provas
Caderno Container