Foram encontradas 50 questões.
Ácido fosfórico ou ácido ortofosfórico é um composto químico de fórmula molecular H3PO4, sendo classificado, dentre os ácidos minerais, como um ácido fraco, oxiácido derivado do anidrido fosfórico. É o mais importante dos ácidos derivados do fósforo. Em relação à fórmula molecular indicada anteriormente no texto, assinale a alternativa correta sobre o número e tipos de ligações nesta estrutura.
Provas
Em um sistema fechado de volume igual a 1 litro, 1 mol de SO2(g) reage com 1 mol de O2(g), à temperatura constante, formando anidrido sulfúrico, de acordo com a reação (não balanceada) a seguir:
SO2(g) + O2(g) ↔ SO3(g)
Depois de estabelecido o equilíbrio químico, verifica-se a presença de 12,8g de SO2(g).
Analisando os dados acima, a constante de equilíbrio desta reação é igual a
Provas
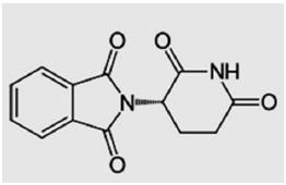
A talidomida é um medicamento perigoso, responsável pela deformação de fetos. A droga foi desenvolvida em um laboratório alemão e lançada no mercado consumidor no final da década de 50. Considerada como calmante e ansiolítico, a talidomida foi largamente usada por gestantes para controlar as constantes náuseas e a tensão, típicas dos primeiros meses de gravidez. No entanto, o alívio que se tinha no princípio transformava-se em desespero e angústia alguns meses depois. Ao longo dos anos 60, muitos bebês nasceram deformados, sem braços ou pernas, com deficiências na estrutura vertebral, cegos ou surdos.

Em relação à estrutura da talidomida, assinale a alternativa que apresenta a função orgânica presente nesta espécie química.
Provas
Em relação ao método de extração denominado arraste a vapor, assinale a alternativa correta.
Provas
A partir da reação do ácido metanoico com o 2-metil propanol-1 teremos a formação do composto
Provas
Carbonato de sódio (Na2CO3) também conhecido como barrilha, é usado em muitos produtos domésticos. Na lavanderia, na cozinha ou no banheiro, carbonato de sódio é um aditivo útil nos detergentes e produtos de limpeza. Uma amostra de carbonato de sódio impuro 45g reagiu com 0,8mol de ácido clorídrico. O excesso deste ácido foi neutralizado por uma solução de 100mL de hidróxido de sódio 0,2mol L-1. O grau de pureza desta barrilha em relação ao carbonato de sódio é, aproximadamente,
Provas
O Ciclo de Carnot demonstra que o maior rendimento possível para uma máquina térmica é o de uma máquina que realizasse um ciclo de duas transformações. Assinale a alternativa que NÃO indica tal processo.
Provas
Para a formação de 1 mol de água no estado líquido, a 25ºC, a partir dos seus elementos, sob pressão constante, liberta-se uma quantidade de calor para a vizinhança igual a 286kJ.
Assinale a alternativa que apresenta o cálculo da variação de entropia desta formação, em J K-1.
Provas
Um falso boato sobre a suspensão do pagamento do programa bolsa família, na segunda quinzena do mês de Maio de 2013, em estados da região do Nordeste, gerou tumultos com beneficiários correndo às agências e casas lotéricas para sacar o dinheiro do programa. O falso boato sobre a suspensão dos pagamentos do Bolsa Família chegou a pelo menos 12 estados Brasileiros.
Assinale a alternativa que apresenta o órgão responsável pelo Programa Bolsa Família.
Provas
O governador do Estado de Sergipe sancionou no mês de Maio do ano de 2013 os projetos de lei 63 e 64/2013, aprovados pela Assembleia Legislativa e que autorizam o Poder Executivo Estadual a contratar a operação de crédito do programa Proinveste.
Qual o nome do governador do Estado de Sergipe?
Provas
Caderno Container