Foram encontradas 100 questões.
Considerando o circuito da figura abaixo, calcule a VGS para uma corrente de dreno (ID) igual a 2 mA.

Provas
Questão presente nas seguintes provas
Considerando o modelo re de um sistema amplificador, representado abaixo, determine a impedância de entrada.
Dados: !$ \beta \, = \, 100; \, IE \, = \, 3mA; \, re \, = \, { \large 26mV \over IE} \, ; \, ro \, = \, \infty \, \Omega. !$

Provas
Questão presente nas seguintes provas
Na base de tudo, a fermentação, no passado vista como coisa do diabo.
Na Idade Média, os pães eram feitos nos mosteiros.
Havia mistério naquele movimento interno da massa, que crescia como se tivesse vida própria. Por isso os monges piedosos acompanhavam todo o processo a rezar. Rezavam sempre e com fervor, pois acreditavam que o crescimento da massa era arte do demônio.
Da mesma forma como havia o demo também atrás da fabricação do queijo, da cerveja e do vinho. Se não fosse o diabo, como explicar então aquela “vida” que de repente começava a pulsar dentro daquela mistura inerte?
Foi só muito tempo depois que a humanidade descobriu o que de fato acontecia naquele processo:(d) era a multiplicação de micro-organismos num conjunto de reações químicas, que ficou conhecido então como fermentação. Hoje, curiosamente, esse mesmo processo está na base de uma das principais ciências do nosso século: a biotecnologia [...].
Quando o mundo se deu conta dos potenciais da biotecnologia, nos anos de 1970, teve início um febril corre-corre(a) nos meios científicos. Falava-se em criar plantas perfeitas, enormes e imunes a pragas e doenças, que revolucionariam a agricultura e resolveriam o problema da fome no mundo. Na medicina, acreditava-se que a cura do câncer, com a ajuda da nova ciência, estaria ao alcance da mão. E apostava-se também na criação de uma espécie de fonte da juventude,(c) desenvolvendo hormônios capazes de retardar o envelhecimento das pessoas. Delirou-se, enfim.(b)
(Revista Globo Ciência, n.º 2)
Assinale a alternativa cuja expressão não representa, no texto, um desatino (falta de juízo, loucura) das pessoas em relação à Ciência.
Provas
Questão presente nas seguintes provas
Numere os parênteses de acordo com o gênero dos substantivos e assinale a sequência resultante.
1 – Sobrecomum
2 – Comum-de-dois
( ) motorista
( ) celebridade
( ) colega
( ) repórter
( ) testemunha
Provas
Questão presente nas seguintes provas
Na base de tudo, a fermentação, no passado vista como coisa do diabo.
Na Idade Média, os pães eram feitos nos mosteiros.
Havia mistério naquele movimento interno da massa, que crescia como se tivesse vida própria. Por isso os monges piedosos acompanhavam todo o processo a rezar. Rezavam sempre e com fervor, pois acreditavam que o crescimento da massa era arte do demônio.
Da mesma forma como havia o demo também atrás da fabricação do queijo, da cerveja e do vinho. Se não fosse o diabo, como explicar então aquela “vida” que de repente começava a pulsar dentro daquela mistura inerte?
Foi só muito tempo depois que a humanidade descobriu o que de fato acontecia naquele processo: era a multiplicação de micro-organismos num conjunto de reações químicas, que ficou conhecido então como fermentação. Hoje, curiosamente, esse mesmo processo está na base de uma das principais ciências do nosso século: a biotecnologia [...].
Quando o mundo se deu conta dos potenciais da biotecnologia, nos anos de 1970, teve início um febril corre-corre nos meios científicos. Falava-se em criar plantas perfeitas, enormes e imunes a pragas e doenças, que revolucionariam a agricultura e resolveriam o problema da fome no mundo. Na medicina, acreditava-se que a cura do câncer, com a ajuda da nova ciência, estaria ao alcance da mão. E apostava-se também na criação de uma espécie de fonte da juventude, desenvolvendo hormônios capazes de retardar o envelhecimento das pessoas. Delirou-se, enfim.
(Revista Globo Ciência, n.º 2)
De acordo com o texto, quais afirmações abaixo estão corretas?
I. A biotecnologia gerou muita expectativa nos meios científicos.
II. Os monges medievais rezavam para se livrar dos efeitos do demônio sobre o pão.
III. Logo a humanidade descobriu o que acontecia naquele processo: a multiplicação de micro-organismos.
Provas
Questão presente nas seguintes provas
1376313
Ano: 2016
Disciplina: Engenharia de Telecomunicações
Banca: DIRENS Aeronáutica
Orgão: EEAr
Disciplina: Engenharia de Telecomunicações
Banca: DIRENS Aeronáutica
Orgão: EEAr
Provas:
A figura abaixo apresenta o diagrama de blocos de um oscilador controlado por tensão (VCO).

Vm(t): sinal modulador.
Ko: constante de proporcionalidade do oscilador (Hz / V).
O sinal na saída do VCO apresenta qual tipo de modulação?
Provas
Questão presente nas seguintes provas
Leia:
A gratidão e a generosidade são duas qualidades muito nobres.
Um homem de bem aplica essas virtudes em sua vida. Assim, ele deixa as pessoas felizes com suas atitudes.
O texto acima é composto de três frases, cujos predicados classificam-se, respectivamente, como
Provas
Questão presente nas seguintes provas
Um seguidor de emissor push-pull classe B apresenta uma tensão saída de 20V. Calcule a potência C.A na carga de 100!$ \Omega !$.
Provas
Questão presente nas seguintes provas
Observe o circuito abaixo.

É incorreto afirmar que
Provas
Questão presente nas seguintes provas
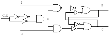
assinale a alternativa que completa corretamente a sentença abaixo:
O flip-flop é disparado por um detetor de borda ______________ do sinal de clock e apresenta valores de S e R que resultam em uma saída Q ambígua para _______________.

Provas
Questão presente nas seguintes provas
Cadernos
Caderno Container