Foram encontradas 100 questões.
Leia:
“Pensativo, caminhava pela estrada da vida, que é pedregosa e a cada instante se recria”.
Com relação à oração adjetiva destacada, assinale a alternativa correta.
Provas
Questão presente nas seguintes provas
Considere as técnicas de modulação pulsada PCM e PPM. Qual das alternativas abaixo descreve uma diferença entre as duas técnicas?
Provas
Questão presente nas seguintes provas
Deseja-se projetar um sistema de monitoramento da vibração produzida por um gerador elétrico que alimenta uma estação radar. A vibração mecânica é convertida em sinal elétrico e este é amostrado e enviado a uma central de processamento. Sabendo que a vibração produzida é igual à rotação do gerador (3600rpm), qual a taxa mínima de amostragem do sinal elétrico convertido?
Provas
Questão presente nas seguintes provas
Selecione a alternativa incorreta quanto à classificação das memórias.
Provas
Questão presente nas seguintes provas
Leia:
Ao chegar tarde em casa, o recém-casado moço, em busca de carinho e atenção de sua esposa que, àquelas horas, já dormia, entra no quarto, se aproxima da cama e sussurra para a mulher:
— Querida, quero amá-la!
Com sono, sem entender bem o que ouvia, a mulher disse:
— Está dentro do armário.
Insistente, o marido tenta de novo:
— Não é nada disso, meu bem. Agora, vou amar-te!
Aborrecida, a jovem respondeu:
— Você pode ir para qualquer planeta que quiser, com ou sem
mala! Quero dormir!
— Querida, quero amá-la!
Com sono, sem entender bem o que ouvia, a mulher disse:
— Está dentro do armário.
Insistente, o marido tenta de novo:
— Não é nada disso, meu bem. Agora, vou amar-te!
Aborrecida, a jovem respondeu:
— Você pode ir para qualquer planeta que quiser, com ou sem
mala! Quero dormir!
Marque a opção que apresenta explicação gramatical correta sobre a conversa apresentada
Provas
Questão presente nas seguintes provas
Poesia do Tempo
O equívoco entre poesia e povo já é demasiadamente sabido para que valha a pena insistir nele. Denunciemos antes o equívoco entre poesia e poetas. A poesia não se “dá”, é hermética ou inumana, queixam-se por aí. Ora, eu creio que os poetas poderiam demonstrar o contrário ao público. De que maneira? Abandonando a ideia de que poesia é evasão. E aceitando alegremente a ideia de que poesia é participação. Não basta dizer que já não há torres de marfim; a torre desmoronou-se pelo ridículo, porém muitos poetas continuam vendo na poesia um instrumento de fuga da realidade ou de correção do que essa realidade ofereça de monstruoso e de errado. Desenvolve-se então entre eles a linguagem cifrada, que nenhum leigo entende, e que suscita o equívoco já célebre entre poesia e povo.
Participação na vida, identificação com os ideais do tempo (e esses ideais existem sempre, mesmo sob as mais sórdidas aparências de decomposição), curiosidade e interesse pelos outros homens, apetite sempre renovado em face das coisas, desconfiança da própria e excessiva riqueza interior, eis aí algumas indicações que permitirão talvez ao poeta deixar de ser um bicho esquisito para voltar a ser, simplesmente, um homem.
(Carlos Drummond de Andrade)
Coloque (V) para verdadeiro e (F) para falso, em seguida assinale a alternativa com a sequência correta. No texto Poesia do Tempo, Carlos Drummond de Andrade se opõe
( ) à facilidade de leitura do povo.
( ) à clareza da linguagem poética.
( ) à expressão de alguns poetas de linguagem cifrada.
( ) ao hermetismo provocado pelo distanciamento entre poesia e povo.
( ) à clareza da linguagem poética.
( ) à expressão de alguns poetas de linguagem cifrada.
( ) ao hermetismo provocado pelo distanciamento entre poesia e povo.
Provas
Questão presente nas seguintes provas
Identifique o sujeito dos verbos destacados e, em seguida, assinale a alternativa correta.
1 – Trata-se de casos emblemáticos.
2 – Faltou-me compaixão naquele instante.
3 – Deve fazer alguns meses que não conversamos.
4 – Sinto muito a ausência de perdão.
2 – Faltou-me compaixão naquele instante.
3 – Deve fazer alguns meses que não conversamos.
4 – Sinto muito a ausência de perdão.
( ) Sujeito indeterminado
( ) Sujeito simples
( ) Oração sem sujeito
( ) Sujeito elíptico
( ) Sujeito simples
( ) Oração sem sujeito
( ) Sujeito elíptico
Provas
Questão presente nas seguintes provas
Com relação aos tipos de predicado, assinale a alternativa que apresenta a sequência correta quanto à classificação dos predicados das orações abaixo.
1 – Os alunos foram informados da situação.
2 – Os candidatos saíram da sala confiantes.
3 – O professor parece despreocupado.
2 – Os candidatos saíram da sala confiantes.
3 – O professor parece despreocupado.
Provas
Questão presente nas seguintes provas
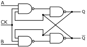
O circuito a seguir representa qual tipo de Flip-Flop?

Provas
Questão presente nas seguintes provas
Qual componente eletrônico pode substituir o capacitor C no circuito tanque abaixo?

Provas
Questão presente nas seguintes provas
Cadernos
Caderno Container