Foram encontradas 505 questões.
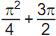
Seja f: R
R uma função duas vezes diferenciável tal que:
I – f "(x) = 2 · cos(x) - x · sen(x) + 2;
II – a reta tangente ao gráfico da função f no ponto (0,2) tem equação y = 3x + 2.
Qual o valor de f
?
R uma função duas vezes diferenciável tal que:I – f "(x) = 2 · cos(x) - x · sen(x) + 2;
II – a reta tangente ao gráfico da função f no ponto (0,2) tem equação y = 3x + 2.
Qual o valor de f
?Provas
Questão presente nas seguintes provas
A Figura abaixo mostra o plano cartesiano R2 e a região R definida por R = {(x,y) ∈ R2 / x > 0 e -x < y < x}. Uma pessoa teve os olhos vendados e foi colocada em pé sobre a origem (0,0) do plano cartesiano, de onde lançará uma bola por diversas vezes, de forma aleatória. Considere que a probabilidade da bola lançada parar sobre a origem, sobre os eixos coordenados, ou sobre as retas y = ±x, é zero.

Para cada lançamento, se a bola parar fora da região R, nenhum ponto é ganho. No entanto, se a bola parar sobre a região R, ganham-se pontos, de acordo com o sinal da ordenada do ponto sobre o qual parou. Se o sinal for positivo, ganha-se 1 ponto e, se o sinal for negativo, ganham-se 2 pontos.
Após n lançamentos da bola, a média aritmética dos pontos obtidos nos mesmos é calculada.
Se n -> + ∞ a referida média aritmética tenderá a

Para cada lançamento, se a bola parar fora da região R, nenhum ponto é ganho. No entanto, se a bola parar sobre a região R, ganham-se pontos, de acordo com o sinal da ordenada do ponto sobre o qual parou. Se o sinal for positivo, ganha-se 1 ponto e, se o sinal for negativo, ganham-se 2 pontos.
Após n lançamentos da bola, a média aritmética dos pontos obtidos nos mesmos é calculada.
Se n -> + ∞ a referida média aritmética tenderá a
Provas
Questão presente nas seguintes provas
Considere a matriz
.
Qual é o valor do determinante da matriz inversa da transposta de M ?
.Qual é o valor do determinante da matriz inversa da transposta de M ?
Provas
Questão presente nas seguintes provas
Considere as informações a seguir para responder às questões de nos 59 e 60.
O Modelo Digital de Elevação de uma grande bacia hidrográfica rural tem resolução espacial de 100 metros e pode ser representado pela matriz a seguir. Para cada elemento da célula, indica-se a elevação representativa em metros e, assim, pode-se estabelecer a direção preferencial de escoamento, considerando que a água vá fluir de uma célula para a outra segundo o critério de maior declividade.

Pretende-se escavar um canal que leve o escoamento que chega à célula de cota 95 metros até a célula indicada pela letra R.O Modelo Digital de Elevação de uma grande bacia hidrográfica rural tem resolução espacial de 100 metros e pode ser representado pela matriz a seguir. Para cada elemento da célula, indica-se a elevação representativa em metros e, assim, pode-se estabelecer a direção preferencial de escoamento, considerando que a água vá fluir de uma célula para a outra segundo o critério de maior declividade.

Caso a intervenção seja realizada, a área de drenagem da célula indicada pela letra R aumentaria de um valor entre
Provas
Questão presente nas seguintes provas
Considere as informações a seguir para responder às questões de nos 59 e 60.
O Modelo Digital de Elevação de uma grande bacia hidrográfica rural tem resolução espacial de 100 metros e pode ser representado pela matriz a seguir. Para cada elemento da célula, indica-se a elevação representativa em metros e, assim, pode-se estabelecer a direção preferencial de escoamento, considerando que a água vá fluir de uma célula para a outra segundo o critério de maior declividade.

As células indicadas com as letras P, Q, R, S e T são as possíveis localizações de uma barragem para aproveitamento hidrelétrico. O Modelo Digital de Elevação de uma grande bacia hidrográfica rural tem resolução espacial de 100 metros e pode ser representado pela matriz a seguir. Para cada elemento da célula, indica-se a elevação representativa em metros e, assim, pode-se estabelecer a direção preferencial de escoamento, considerando que a água vá fluir de uma célula para a outra segundo o critério de maior declividade.

Sabendo-se que a barragem deverá localizar-se na posição que possuir a maior área de drenagem, ela deverá ser posicionada na célula indicada pela letra
Provas
Questão presente nas seguintes provas
Sejam x e y dois números inteiros tais que 3x + 5y = 22 e 
O produto x . y é igual a

O produto x . y é igual a
Provas
Questão presente nas seguintes provas
Calor é transferido para uma máquina térmica a uma taxa de 75 MW. Considerando que o calor é rejeitado para uma fonte fria, a taxa de 45 MW, a eficiência dessa máquina térmica é
Provas
Questão presente nas seguintes provas
João e Lucas almoçaram em um restaurante. Ao receberem a conta, Lucas propôs dividirem igualmente a despesa, o que daria R$ 36,00 para cada um. João, que havia escolhido um prato mais caro, disse que Lucas deveria pagar apenas 2/ 3 do que ele, João, pagaria.
De acordo com a divisão proposta por João, Lucas pagará pelo almoço
De acordo com a divisão proposta por João, Lucas pagará pelo almoço
Provas
Questão presente nas seguintes provas
Quatrocentas pessoas foram convidadas para uma festa. Dessas pessoas, 62% eram mulheres. No dia da festa, os organizadores constataram que apenas 88% dos convidados compareceram.
Se 25% dos homens convidados não foram, quantas mulheres compareceram a essa festa?
Se 25% dos homens convidados não foram, quantas mulheres compareceram a essa festa?
Provas
Questão presente nas seguintes provas
Em um supermercado, uma embalagem com 12 picolés custa R$ 21,60 e cada picolé, vendido separadamente, custa R$ 2,40.
Ao optar pela compra da embalagem, o cliente recebe um desconto, em relação ao preço de venda por unidade, de
Ao optar pela compra da embalagem, o cliente recebe um desconto, em relação ao preço de venda por unidade, de
Provas
Questão presente nas seguintes provas
Cadernos
Caderno Container