Foram encontradas 291 questões.
A transmissão em corrente contínua é atualmente uma tecnologia consolidada, e as técnicas de controle utilizadas nas conversoras, um assunto bastante estudado. A figura a seguir ilustra o modelo simplificado de um elo de corrente contínua.

Considerando esse modelo e as relações entre as grandezas das conversoras, analise os itens a seguir.
I. A corrente no elo é dada pela expressão, !$ I_d = \dfrac{V_{dr}-V_{di}}{R} !$ onde !$ V_{dr} !$ e !$ V_{di} !$ são as tensões no retificador e inversor, respectivamente, e R é a resistência da linha de transmissão.
II. A corrente !$ I_d !$ pode ser controlada alterando-se o ângulo de disparo !$ \alpha !$ no retificador ou o ângulo de extinção !$ \gamma !$ no inversor. No entanto, essas ações de controle são lentas se comparadas com a atuação na tensão CA, por meio dos taps dos transformadores das conversoras.
III. O aumento dos ângulos !$ \alpha !$ e !$ \gamma !$ implicam numa operação com fator de potência mais baixo e maior consumo de potência reativa nas conversoras.
IV. A operação do elo com valores de ângulos !$ \alpha !$ e !$ \gamma !$ muito pequenos podem expor as conversoras a falhas de comutação, principalmente no lado do inversor.
Está correto o que se afirma em
Provas
As usinas hidrelétricas de Jirau e Santo Antônio compõem o Complexo Hidrelétrico do Rio Madeira, construído entre os anos de 2008 e 2016. Esse complexo possui capacidade instalada de 7318 MW e está localizado em Porto Velho, no estado de Rondônia. Dado o montante de geração e a distância dos centros de carga do sudeste (2375 km), optou-se pelo transporte da energia gerada por meio de um sistema em corrente contínua (CC) das usinas até a subestação de Araraquara, no estado de São Paulo.
A respeito da topologia do sistema de transmissão em CC do Complexo do Rio Madeira, é correto afirmar que é composto
Provas
O conceito de dispositivos FACTS – Flexible Alternating Current Transmission System – foi cunhado no início da década de 1990 e busca categorizar as diversas soluções para melhoria do desempenho de sistemas de transmissão CA que empregam elementos da eletrônica de potência.
A respeito desse conceito e dos dispositivos nele contidos, analise as afirmativas a seguir e assinale (V) para a verdadeira e (F) para a falsa.
( ) O SVC é composto por um conversor fonte de tensão conectado em derivação (shunt), alimentado por um capacitor, cuja tensão de saída é controlada de forma que uma corrente reativa, necessária para regulação da tensão local, flua para a rede CA.
( ) O SSSC é um conversor fonte de tensão conectado em série com uma linha de transmissão. Esse dispositivo injeta uma tensão controlada em série que age como uma reatância variável, controlando o fluxo de potência e o nível de compensação da linha.
( ) Os dispositivos FACTS permitem um aumento da capacidade de transferência de potência em redes de transmissão, ao custo de uma menor margem de estabilidade do sistema elétrico.
( ) No sistema elétrico brasileiro não são empregados dispositivos FACTS em razão do custo desses equipamentos e da característica do SIN de emprego de longos corredores de transmissão para escoar geração distante das cargas.
As afirmativas são, na ordem apresentada, respectivamente,
Provas
O desenvolvimento tecnológico no campo da eletrônica de potência tem permitido a disponibilidade de vários tipos de dispositivos semicondutores de alta potência para diversas aplicações no contexto de sistemas elétricos. Dentre essas aplicações, pode-se citar a transmissão de grandes blocos de energia, aumento da estabilidade, interface entre sistemas assíncronos, filtragem ativa, entre outras.
Sobre essa tecnologia no planejamento da rede elétrica atual, avalie os itens a seguir.
I. O STATCOM é um equipamento FACTS para controle de tensão e aumento de estabilidade que opera com base na tecnologia de indutores chaveados por tiristores em antiparalelo em conjunto com capacitores chaveados a tiristores ou mecanicamente.
II. Os conversores baseados em eletrônica de potência podem ser classificados quanto a seu processo de comutação. Um exemplo são os conversores LCC – Line-Commutated Converters. Nesses conversores o sistema elétrico em corrente alternada (CA) dita o processo de comutação, que se inicia sempre que ocorre a reversão da polaridade da tensão sobre o dispositivo eletrônico.
III. O tiristor é um exemplo de chave eletrônica unidirecional e bipolar, ou seja, esse dispositivo só pode conduzir em um sentido e suporta uma tensão reversa relativamente elevada.
IV. Os transistores da tecnologia MOSFET são atualmente os dispositivos da eletrônica de potência que podem ser fabricados com as maiores tensões e correntes nominais. Isso faz com que sejam aplicados em diversas soluções de conversoras e equipamentos FACTS.
Está correto o que se afirma em
Provas
Sempre que se considera a implantação de uma nova interligação entre submercados é avaliada qual a tecnologia melhor se adequa à tarefa proposta, considerando as condições de contorno do sistema existente. São levados em conta aspectos como custo, desempenho, maturidade tecnológica, confiabilidade, entre outros, para se chegar à solução de referência mais adequada.
Com base nas diferenças entre as tecnologias de transmissão em corrente alternada e contínua, analise as afirmativas a seguir e assinale (V) para a verdadeira e (F) para a falsa.
( ) Um dos fatores limitantes para o comprimento de linhas de transmissão em CA é a capacidade de controle de tensão em seus terminais, em regime e em manobras de energização.
( ) É possível controlar o fluxo de potência ativa em linhas de transmissão CA.
( ) Entre as desvantagens da transmissão em corrente contínua está sua vulnerabilidade às contingências na rede CA na qual se insere. Perturbações nessa rede podem causar o fenômeno de falha de comutação, e caso vários elos CC estejam próximos eletricamente, essas falhas podem ser simultâneas e agravar a condição do sistema.
( ) Uma clara vantagem da transmissão CA é permitir a integração de novas cargas ao longo do traçado da linha de transmissão, por meio de seccionamentos e novas subestações de fronteira, diferente da transmissão CC, que é, geralmente, ponto a ponto.
As afirmativas são, na ordem apresentada, respectivamente,
Provas
Na figura a seguir, tem-se a representação de um sistema do tipo máquina versus barra infinita, onde xt2 é a reatância de transferência entre a barra terminal do gerador (Barra t) e a barra infinita (Barra 2), x'd é a reatância transitória de eixo direto da máquina, !$ \dot{E}_1 !$ é o fasor tensão interna da máquina, !$ \delta !$ é o ângulo de carga da máquina, !$ \dot{E}_2 !$ é o fasor tensão da barra infinita, H é a constante de inércia da máquina, Pelétrico é a potência elétrica da máquina e Pmec é a potência mecânica da máquina.

A equação de oscilação da máquina para a condição apresentada é dada por
Provas
Existem vários tipos de curto-circuito e eles apresentam diferentes características. Assim, analise as afirmativas a seguir e assinale (V) para a verdadeira e (F) para a falsa.
( ) O curto trifásico e o curto trifásico envolvendo a terra são classificados como curtos simétricos ou equilibrados.
( ) O circuito equivalente para o cálculo da corrente de curto monofásico é dado pelas redes de sequências zero, positiva e negativa ligadas em série.
( ) O circuito equivalente para o cálculo da corrente de curto bifásico envolvendo a terra é dado pelas redes de sequências positiva e negativa ligadas em paralelo.
( ) O circuito equivalente para o cálculo da corrente de curto trifásico envolvendo a terra consiste apenas da rede de sequência positiva.
As afirmativas são, na ordem apresentada, respectivamente,
Provas
Considere um sistema formado por duas máquinas conectadas por meio de uma linha de transmissão. Uma falta trifásica ocorre no ponto 3 da linha conforme o diagrama a seguir.

O diagrama de impedâncias do sistema acima e o valor do fasor tensão pré-falta no ponto 3 !$ \dot{V}_3^{pré-falta}) !$ são apresentados na figura a seguir.

Os valores das impedâncias estão em pu nas bases do sistema, sendo:
!$ jx'd1 = j0,12pu\\jx_{lt13}=j0,37pu\\jx_{lt23}=j0,34pu\\jx'_{d2}=j0,15pu !$
Na condição de defeito (falta trifásica no ponto 3), a corrente de curto !$ (i^{curto}_{3\varnothing}) !$ em pu é igual a
Provas
Os métodos desacoplados (Newton desacoplado e desacoplado rápido) foram desenvolvidos a partir do método de Newton. Visto isso, analise as afirmativas a seguir e assinale (V) para a verdadeira e (F) para a falsa.
( ) Os métodos desacoplados baseiam-se no desacoplamento !$ Q\theta !$ e PV, uma vez que, as sensibilidades !$ \dfrac{\delta Q}{\delta \theta} !$ e !$ \dfrac{\delta P}{\delta V} !$ são mais intensas que, respectivamente, para sistemas de transmissão em extra alta tensão (acima de 230 kV).
( ) No método de Newton desacoplado, as submatrizes jacobianas M e N são desconsideradas, ou seja, essas submatrizes são feitas iguais a zero.
( ) No método desacoplado rápido, as submatrizes jacobianas H e M são formadas por parâmetros da rede, ou seja, essas submatrizes são mantidas constantes durante o processo iterativo.
( ) Nos métodos desacoplados são introduzidas aproximações na matriz jacobiana, mas os vetores de resíduos são calculados da mesma forma que no método de Newton. Ou seja, os métodos desacoplados e de Newton apresentarão a mesma solução final porque o problema a ser resolvido permanece o mesmo.
As afirmativas são, na ordem apresentada, respectivamente,
Provas
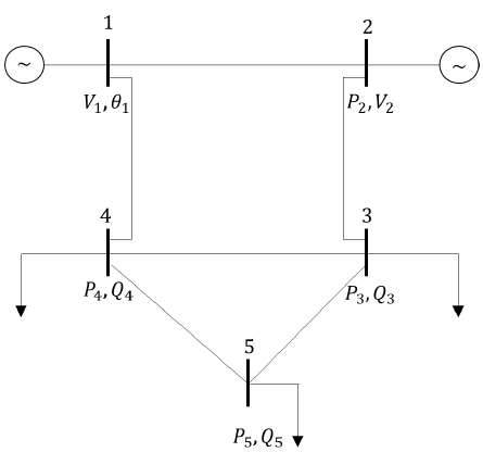
No diagrama unifilar a seguir, mostram-se as variáveis especificadas em cada barra do sistema.

Logo, o problema de fluxo de potência, pelo método de Newton, terá a matriz jacobiana quadrada de ordem igual a
Provas
Caderno Container