Magna Concursos

Foram encontradas 100 questões.

3453145 Ano: 2024
Disciplina: Matemática
Banca: DECEx
Orgão: EsPCEx
Provas:

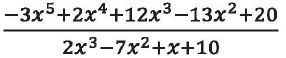
Para todo x\( \mathbb{R} \) -\( \left\{-1,\dfrac{5}{2},2\right\} \), a expressão Enunciado 3993597-1 equivale a:

 

Provas

Questão presente nas seguintes provas
3453144 Ano: 2024
Disciplina: Matemática
Banca: DECEx
Orgão: EsPCEx
Provas:

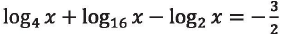
Sendo x a solução da equação Enunciado 3993596-1 o valor de \( \sqrt[3]{x} \) é:

 

Provas

Questão presente nas seguintes provas
3453143 Ano: 2024
Disciplina: Inglês (Língua Inglesa)
Banca: DECEx
Orgão: EsPCEx
Provas:

Leia o texto a seguir e responda às questões 48, 49 e 50.

The Army leadership code

Our Army needs to move with the times. The operating environment is increasingly uncertain, complex and dispersed. Leadership has never been more challenging. This intent (1) ___________ how we will meet this challenge in war and in peace, with our approach to both being as similar as possible. It is to be read and (2) ___________ by all soldiers at every level. Our war fighting doctrine is based on mutual trust between leaders and those they lead. Leaders have a duty to provide the guidance, including resources that allow subordinates to use their initiative and judgment, whereas subordinates have a duty to act with loyalty and discipline.

This is a culture that empowers all leaders at every level. This enables us to (3) ___________ an enemy in the most chaotic and demanding circumstances. We want to unlock the potential of every soldier. Leaders must empower their subordinates routinely because this will give them the confidence to act boldly and independently on the battlefield. Leaders must know those they lead, understand them, and place the care of their subordinates at the forefront of all that they do.

This means leaders must tolerate risk and accept honest mistakes as a natural part of leader development. Micromanagement has no place on the battlefield and in peacetime either. This is not about encouraging soldiers to be reckless or to gamble; it is about accepting errors in the pursuit of calculated risk taking, boldness and initiative. In return, we expect all soldiers to live by our values, to approach every day with an open-minded attitude that sees the potential in everyone, refuses to allow unacceptable behaviour, and seizes the opportunities that mission command offers.

The world is changing rapidly, and external factors, such as global conflict, are causing long-term effects on the Army and its leadership. Nevertheless, it is critical that we remark that some things have not changed and should not change. The values that have long governed the Army have served as a cornerstone for years. Furthermore, those values define who we are and make us different.

Adapted from www.army.mod.uk and www.moore.army.mil

According to the text, choose the correct statement.

 

Provas

Questão presente nas seguintes provas
3453142 Ano: 2024
Disciplina: Inglês (Língua Inglesa)
Banca: DECEx
Orgão: EsPCEx
Provas:

Leia o texto a seguir e responda às questões 48, 49 e 50.

The Army leadership code

Our Army needs to move with the times. The operating environment is increasingly uncertain, complex and dispersed. Leadership has never been more challenging. This intent (1) ___________ how we will meet this challenge in war and in peace, with our approach to both being as similar as possible. It is to be read and (2) ___________ by all soldiers at every level. Our war fighting doctrine is based on mutual trust between leaders and those they lead. Leaders have a duty to provide the guidance, including resources that allow subordinates to use their initiative and judgment, whereas subordinates have a duty to act with loyalty and discipline.

This is a culture that empowers all leaders at every level. This enables us to (3) ___________ an enemy in the most chaotic and demanding circumstances. We want to unlock the potential of every soldier. Leaders must empower their subordinates routinely because this will give them the confidence to act boldly and independently on the battlefield. Leaders must know those they lead, understand them, and place the care of their subordinates at the forefront of all that they do.

This means leaders must tolerate risk and accept honest mistakes as a natural part of leader development. Micromanagement has no place on the battlefield and in peacetime either. This is not about encouraging soldiers to be reckless or to gamble; it is about accepting errors in the pursuit of calculated risk taking, boldness and initiative. In return, we expect all soldiers to live by our values, to approach every day with an open-minded attitude that sees the potential in everyone, refuses to allow unacceptable behaviour, and seizes the opportunities that mission command offers.

The world is changing rapidly, and external factors, such as global conflict, are causing long-term effects on the Army and its leadership. Nevertheless, it is critical that we remark that some things have not changed and should not change. The values that have long governed the Army have served as a cornerstone for years. Furthermore, those values define who we are and make us different.

Adapted from www.army.mod.uk and www.moore.army.mil

Choose the alternative with synonyms that correctly and respectively substitute nevertheless and furthermore (paragraph 4).

 

Provas

Questão presente nas seguintes provas
3453141 Ano: 2024
Disciplina: Inglês (Língua Inglesa)
Banca: DECEx
Orgão: EsPCEx
Provas:

Leia o texto a seguir e responda às questões 48, 49 e 50.

The Army leadership code

Our Army needs to move with the times. The operating environment is increasingly uncertain, complex and dispersed. Leadership has never been more challenging. This intent (1) ___________ how we will meet this challenge in war and in peace, with our approach to both being as similar as possible. It is to be read and (2) ___________ by all soldiers at every level. Our war fighting doctrine is based on mutual trust between leaders and those they lead. Leaders have a duty to provide the guidance, including resources that allow subordinates to use their initiative and judgment, whereas subordinates have a duty to act with loyalty and discipline.

This is a culture that empowers all leaders at every level. This enables us to (3) ___________ an enemy in the most chaotic and demanding circumstances. We want to unlock the potential of every soldier. Leaders must empower their subordinates routinely because this will give them the confidence to act boldly and independently on the battlefield. Leaders must know those they lead, understand them, and place the care of their subordinates at the forefront of all that they do.

This means leaders must tolerate risk and accept honest mistakes as a natural part of leader development. Micromanagement has no place on the battlefield and in peacetime either. This is not about encouraging soldiers to be reckless or to gamble; it is about accepting errors in the pursuit of calculated risk taking, boldness and initiative. In return, we expect all soldiers to live by our values, to approach every day with an open-minded attitude that sees the potential in everyone, refuses to allow unacceptable behaviour, and seizes the opportunities that mission command offers.

The world is changing rapidly, and external factors, such as global conflict, are causing long-term effects on the Army and its leadership. Nevertheless, it is critical that we remark that some things have not changed and should not change. The values that have long governed the Army have served as a cornerstone for years. Furthermore, those values define who we are and make us different.

Adapted from www.army.mod.uk and www.moore.army.mil

Choose the alternative with verbs that correctly and respectively complete gaps (1), (2) and (3) in paragraphs 1 and 2.

 

Provas

Questão presente nas seguintes provas
3453140 Ano: 2024
Disciplina: Inglês (Língua Inglesa)
Banca: DECEx
Orgão: EsPCEx
Provas:

Leia o texto a seguir e responda às questões 45, 46 e 47.

Girls freeze during soccer game as everyone hears the unmistakable sound of the national anthem

At 4:30 p.m. on a Tuesday afternoon, the Bison high school girls were hosting Butte in a Class AA playoff soccer game when a familiar sound was heard in the distance. Immediately, in the middle of the 1-0 game, both teams froze and the head referee stopped the play clock for a minute. One spectator filmed the incident, which was so simple yet so powerful a gesture. The sound that brought the game to a halt was the national anthem, which plays over the speaker system at Malmstrom Air Force Base (MAFB), directly across the street from the Siebel Soccer Park in Great Falls. Every day at 4:30 p.m., the anthem plays as the United States flag is lowered from its perch.

Usually, the teams are only practicing when the anthem plays, and they stop to honor the flag. However, on this particular Tuesday, when the anthem played at 4:30 p.m. just as it does every day, the girls on the field were in the middle of the 1-0 game. Much to the surprise of onlookers, the head referee stopped the clock, and the girls knew what to do. Both teams turned toward the flag, and some players placed their hands over their hearts. Even in the middle of a game, these girls remembered what is really important: showing respect for our anthem and our flag honors the people who fought for our freedom.

While kids behaving badly will always manage to get attention, there are plenty of other teens who know the right thing to do. All too often, these youngsters fly under the radar, not drawing the praise they deserve. But, every once in a while, the spotlight shines brightly on them when they do something particularly awesome. In a world filled with news about kids doing the wrong thing, it's nice to see a story about teens, like these girls, who do the right thing. They could certainly teach a few adults about patriotism, loyalty and love for our country. Good job, girls!

Adapted from https://post.knews899.com/girls-freeze-during-soccer-game-as-everyone-hears-the-unmistakable-sound-of-the-national-anthem-video/

In the sentence “...these youngsters fly under the radar...” (paragraph 3), the expression fly under the radar means

 

Provas

Questão presente nas seguintes provas
3453139 Ano: 2024
Disciplina: Inglês (Língua Inglesa)
Banca: DECEx
Orgão: EsPCEx
Provas:

Leia o texto a seguir e responda às questões 45, 46 e 47.

Girls freeze during soccer game as everyone hears the unmistakable sound of the national anthem

At 4:30 p.m. on a Tuesday afternoon, the Bison high school girls were hosting Butte in a Class AA playoff soccer game when a familiar sound was heard in the distance. Immediately, in the middle of the 1-0 game, both teams froze and the head referee stopped the play clock for a minute. One spectator filmed the incident, which was so simple yet so powerful a gesture. The sound that brought the game to a halt was the national anthem, which plays over the speaker system at Malmstrom Air Force Base (MAFB), directly across the street from the Siebel Soccer Park in Great Falls. Every day at 4:30 p.m., the anthem plays as the United States flag is lowered from its perch.

Usually, the teams are only practicing when the anthem plays, and they stop to honor the flag. However, on this particular Tuesday, when the anthem played at 4:30 p.m. just as it does every day, the girls on the field were in the middle of the 1-0 game. Much to the surprise of onlookers, the head referee stopped the clock, and the girls knew what to do. Both teams turned toward the flag, and some players placed their hands over their hearts. Even in the middle of a game, these girls remembered what is really important: showing respect for our anthem and our flag honors the people who fought for our freedom.

While kids behaving badly will always manage to get attention, there are plenty of other teens who know the right thing to do. All too often, these youngsters fly under the radar, not drawing the praise they deserve. But, every once in a while, the spotlight shines brightly on them when they do something particularly awesome. In a world filled with news about kids doing the wrong thing, it's nice to see a story about teens, like these girls, who do the right thing. They could certainly teach a few adults about patriotism, loyalty and love for our country. Good job, girls!

Adapted from https://post.knews899.com/girls-freeze-during-soccer-game-as-everyone-hears-the-unmistakable-sound-of-the-national-anthem-video/

According to the text, the girls' gesture means that they

 

Provas

Questão presente nas seguintes provas
3453138 Ano: 2024
Disciplina: Inglês (Língua Inglesa)
Banca: DECEx
Orgão: EsPCEx
Provas:

Leia o texto a seguir e responda às questões 45, 46 e 47.

Girls freeze during soccer game as everyone hears the unmistakable sound of the national anthem

At 4:30 p.m. on a Tuesday afternoon, the Bison high school girls were hosting Butte in a Class AA playoff soccer game when a familiar sound was heard in the distance. Immediately, in the middle of the 1-0 game, both teams froze and the head referee stopped the play clock for a minute. One spectator filmed the incident, which was so simple yet so powerful a gesture. The sound that brought the game to a halt was the national anthem, which plays over the speaker system at Malmstrom Air Force Base (MAFB), directly across the street from the Siebel Soccer Park in Great Falls. Every day at 4:30 p.m., the anthem plays as the United States flag is lowered from its perch.

Usually, the teams are only practicing when the anthem plays, and they stop to honor the flag. However, on this particular Tuesday, when the anthem played at 4:30 p.m. just as it does every day, the girls on the field were in the middle of the 1-0 game. Much to the surprise of onlookers, the head referee stopped the clock, and the girls knew what to do. Both teams turned toward the flag, and some players placed their hands over their hearts. Even in the middle of a game, these girls remembered what is really important: showing respect for our anthem and our flag honors the people who fought for our freedom.

While kids behaving badly will always manage to get attention, there are plenty of other teens who know the right thing to do. All too often, these youngsters fly under the radar, not drawing the praise they deserve. But, every once in a while, the spotlight shines brightly on them when they do something particularly awesome. In a world filled with news about kids doing the wrong thing, it's nice to see a story about teens, like these girls, who do the right thing. They could certainly teach a few adults about patriotism, loyalty and love for our country. Good job, girls!

Adapted from https://post.knews899.com/girls-freeze-during-soccer-game-as-everyone-hears-the-unmistakable-sound-of-the-national-anthem-video/

About the word “unmistakable” from the title, it is correct to say that

 

Provas

Questão presente nas seguintes provas
3453137 Ano: 2024
Disciplina: Inglês (Língua Inglesa)
Banca: DECEx
Orgão: EsPCEx
Provas:

Leia o texto a seguir e responda às questões 54, 55 e 56.

Letter sent in 1916 arrives over 100 years later

A letter written during World War I has finally arrived at a flat in Crystal Palace, south London, over 100 years later. According to the BBC, the envelope, sent in February 1916, bears a postmark from the English city of Bath and includes a one-penny stamp featuring the head of King George V.

The letter finally arrived two years ago at the apartment of theatre director Finlay Glen, 27, who told the outlet he was confused when he saw it in the mail and only recently gave the letter to a local historical society. "We were obviously pretty surprised and mystified as to how it could have been left there for more than 100 years," he said.

The mysterious letter was written to Katie Marsh, wife of local stamp magnate Oswald Marsh, by her friend Christabel Mennell and it describes her visit to a sanatorium in Bath where her father was a wheelchair user. The envelope also has a stamp from the Sydenham sorting office, which was in operation for over a century before it closed down in recent years. This led to speculation that the letter was found and placed in the day's post when the office was cleared out, Glen told the newspaper.

"We are uncertain what happened in this instance," a spokesperson from the Royal Mail said. "We appreciate that people will be intrigued by the history of this letter from 1916, but we have no further information on what might have happened."

Glen told the BBC that if relatives of the letter's sender, or relatives of the intended recipient, wanted the letter, he would gladly give it to them. "It's an amazing piece of their family history that has turned up," he said, "if they want to, they can come round."

Adapted from https://people.com/human-interest/letter-sent-in-1916-arrives-over-100-years-later/

According to the text, choose the correct statement.

 

Provas

Questão presente nas seguintes provas
3453136 Ano: 2024
Disciplina: Inglês (Língua Inglesa)
Banca: DECEx
Orgão: EsPCEx
Provas:

Leia o texto a seguir e responda às questões 54, 55 e 56.

Letter sent in 1916 arrives over 100 years later

A letter written during World War I has finally arrived at a flat in Crystal Palace, south London, over 100 years later. According to the BBC, the envelope, sent in February 1916, bears a postmark from the English city of Bath and includes a one-penny stamp featuring the head of King George V.

The letter finally arrived two years ago at the apartment of theatre director Finlay Glen, 27, who told the outlet he was confused when he saw it in the mail and only recently gave the letter to a local historical society. "We were obviously pretty surprised and mystified as to how it could have been left there for more than 100 years," he said.

The mysterious letter was written to Katie Marsh, wife of local stamp magnate Oswald Marsh, by her friend Christabel Mennell and it describes her visit to a sanatorium in Bath where her father was a wheelchair user. The envelope also has a stamp from the Sydenham sorting office, which was in operation for over a century before it closed down in recent years. This led to speculation that the letter was found and placed in the day's post when the office was cleared out, Glen told the newspaper.

"We are uncertain what happened in this instance," a spokesperson from the Royal Mail said. "We appreciate that people will be intrigued by the history of this letter from 1916, but we have no further information on what might have happened."

Glen told the BBC that if relatives of the letter's sender, or relatives of the intended recipient, wanted the letter, he would gladly give it to them. "It's an amazing piece of their family history that has turned up," he said, "if they want to, they can come round."

Adapted from https://people.com/human-interest/letter-sent-in-1916-arrives-over-100-years-later/

Choose the alternative with the correct reference for the underlined words from the text.

 

Provas

Questão presente nas seguintes provas