Foram encontradas 120 questões.
Disciplina: Atualidades e Conhecimentos Gerais
Banca: CESPE / CEBRASPE
Orgão: FUB
Acerca de temas diversos da atualidade, julgue o próximo item.
No contexto econômico das relações internacionais contemporâneas, o Brasil se destaca na produção e exportação de commodities.
Provas
Disciplina: Atualidades e Conhecimentos Gerais
Banca: CESPE / CEBRASPE
Orgão: FUB
Acerca de temas diversos da atualidade, julgue o próximo item.
A parceria de países da América Latina com a China faz parte da geopolítica de aumento da influência desse país asiático no cenário internacional.
Provas
Disciplina: Atualidades e Conhecimentos Gerais
Banca: CESPE / CEBRASPE
Orgão: FUB
Acerca de temas diversos da atualidade, julgue o próximo item.
Brasília, como importante cidade administrativa e sede do poder federal, influencia diretamente municípios dos estados de Goiás e de Minas Gerais.
Provas
Julgue o item seguinte, relativo ao programa de navegação Internet Explorer 11 e aos mecanismos de busca avançada no Google.
Na realização de pesquisa por meio do Google, o uso do termo info:www.unb.br permite a obtenção de detalhes sobre o sítio eletrônico da UnB.
Provas

Considerando o diagrama de blocos precedente, que representa o transmissor de um sistema PCM, julgue o item a seguir.
A quantização representa o sinal de forma discreta tanto em termo da amplitude quanto do tempo.
Provas

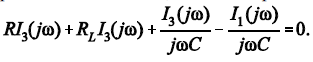
Na figura anterior, que representa um circuito constituído de vários elementos passivos e de uma fonte de tensão independente, todos ideais, estão caracterizadas algumas tensões e correntes e indicados cinco nós: a, b, c, d e e. A respeito desse circuito, julgue o item a seguir.
Se I1(jω) e I2(jω) forem as correspondentes correntes
no domínio da frequência para as correntes i1(t) e i3(t),
consideradas de malha, então, em regime permanente
senoidal e no domínio da frequência, a equação de laço
para a malha de saída, onde estão presentes os nós c, d e e, é 
Provas
Com base nas Normas para Padronização de Documentos da Universidade de Brasília (NPD/UnB), julgue o item a seguir, acerca de aspectos gerais da redação oficial.
Memorando emitido pelo vice-reitor e destinado à reitora deve utilizar o endereçamento À Sua Magnificência, assim como a forma de tratamento Vossa Magnificência, e ser concluído com a saudação Respeitosamente.
Provas
Acerca de classificação constitucional, de princípios, direitos e garantias fundamentais e de servidores públicos, julgue o seguinte item.
Situação hipotética: Meire, servidora pública de sessenta anos de idade, vinculada a regime próprio de previdência, cumpriu quinze anos de efetivo exercício no serviço público, tendo, nos últimos cinco anos, trabalhado no cargo efetivo em que pretende requerer aposentadoria. Assertiva: Nesse caso, Meire poderá aposentar-se voluntariamente com proventos integrais em razão da idade.
Provas
Nessa situação hipotética, de acordo com os dispositivos do Regime Jurídico dos Servidores Públicos Civis da União, da Lei n.º 8.429/1992 e os princípios e normas de ética do servidor público,
o ato de improbidade praticado por José teve natureza dolosa, uma vez que não se admite conduta culposa para a configuração de ato administrativo que gere prejuízo ao erário.
Provas
Disciplina: Atualidades e Conhecimentos Gerais
Banca: CESPE / CEBRASPE
Orgão: FUB
Acerca de temas diversos da atualidade, julgue o próximo item.
O Brexit, que preparou a saída do Reino Unido da União Europeia, foi finalizado dentro da normalidade democrática.
Provas
Caderno Container