Foram encontradas 440 questões.
Em mecânica quântica, uma partícula livre é aquela que não está sujeita a qualquer potencial externo, podendo se mover livremente em qualquer direção. Essa liberdade se reflete no fato de que a partícula não está confinada a uma região específica do espaço. No entanto, mesmo livre, a partícula ainda é descrita por uma função de onda que evolui no tempo de acordo com a equação de Schrödinger. Diferentemente de partículas em sistemas com potenciais, a energia e o momento da partícula livre não são quantizados, ou seja, podem assumir qualquer valor contínuo. Isso significa que a partícula livre pode ter qualquer velocidade e energia.
Considere o problema unidimensional de uma partícula no eixo x. Sendo k o número de onda, ω a frequência angular, t o tempo e i o número imaginário puro, qual das alternativas abaixo não é verdadeira:
Provas
Na mecânica quântica, o modelo do poço de potencial infinito descreve uma partícula confinada em uma região do espaço com paredes intransponíveis, ou seja, com barreiras de energia infinita. Essa aproximação é particularmente útil para modelar o comportamento de elétrons em átomos altamente ionizados ou em moléculas com ligações químicas fortes, onde o elétron está sujeito a um potencial que se assemelha a um poço infinito.
Considere que um elétron de massa m está confinado em um poço de potencial infinito unidimensional de comprimento L. Sendo h a constante de Planck, a quantidade de energia que deve ser fornecida ao elétron para que ele transite do estado fundamental para o 4º estado excitado é:
Provas
O efeito fotoelétrico, explicado por Albert Einstein em 1905, revolucionou a física e consolidou a teoria quântica da luz. Qual das alternativas abaixo descreve corretamente uma característica fundamental desse efeito?
Provas
Os múons e os píons são continuamente produzidos nas camadas superiores da atmosfera terrestre. Essa produção ocorre como resultado da interação de raios cósmicos de alta energia com os núcleos atômicos da atmosfera. Para um observador situado na superfície terrestre, após sua produção, um múon se aproxima da superfície terrestre com velocidade de 0,998c. Logo em seguida, o mesmo observador observa um píon, na mesma direção e sentido do múon, com velocidade de 0,980c. Qual a velocidade do píon em relação ao múon?
Provas
As ondas eletromagnéticas planas, uma combinação oscilante de campos elétricos e magnéticos, possuem características únicas quando se propagam no vácuo. Assinale a alternativa que não descreve corretamente uma propriedade das ondas eletromagnéticas planas no vácuo.
Provas
- Mecânica ClássicaDinâmicaQuantidade de Movimento, Impulso e ColisõesImpulso e Quantidade de Movimento
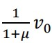
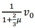
Uma esfera oca de massa M e raio R é lançada em uma superfície perfeitamente horizontal, sem girar, com velocidade inicial v0. Sabendo que µ é o coeficiente de atrito cinético entre a esfera e a superfície e que o momento de inércia de uma casca esférica em torno de um eixo contendo o seu centro de massa é i = (2/3)MR2 , determine a velocidade desta esfera no exato momento em que o deslizamento cessa.
Provas
A esfera mostrada deslizando foi liberada em A. Quando colide com o bloco 1, observa-se que o evento ocorre de forma que há dissipação máxima de energia. Considere g = 10 m/s2 e que a superfície é perfeitamente lisa. Além disso, sabe-se que a constante elástica da mola é k = 60 N/cm e m2/6 = m1/3 = m = 4kg.

Determine qual é a deformação máxima sofrida pela mola.
Provas
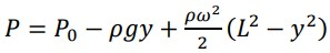
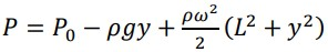
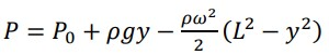
O comprimento de um braço horizontal de um tubo em U é L e as extremidades de ambos os braços verticais se abrem para a pressão atmosférica Po. Um líquido de densidade ρ é despejado no tubo de forma que o líquido preencha apenas a parte horizontal do tubo, conforme mostrado na figura.

Agora, uma extremidade das extremidades abertas é fechada e o tubo é, então, girado em torno de um eixo vertical que passa pelo outro braço vertical com velocidade angular ω. Se o comprimento de cada braço vertical for α e na extremidade fechada o líquido subir até uma altura y, encontre a pressão no tubo fechado durante a rotação.
Provas
Um plano horizontal suporta uma prancha com uma barra de massa m colocada sobre ela e presa por uma corda elástica leve não deformada de comprimento l a um ponto O, conforme mostrado na figura.

O coeficiente de atrito entre a barra e a prancha é µ. A prancha é lentamente deslocada para a direita até que a barra comece a deslizar sobre ela. Isso ocorre no momento em que a corda se desvia da vertical em θ. Encontre o trabalho que foi realizado naquele momento pela força de atrito atuando na barra no referencial fixado ao plano.
Provas
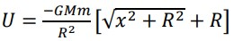
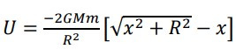
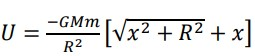
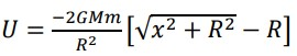
Uma partícula de massa m está situada a uma distância x do centro de um disco maciço de massa M e raio R, sobre seu eixo de simetria, conforme mostrado na figura.

A energia potencial gravitacional armazenada no sistema é:
Provas
Caderno Container