Foram encontradas 600 questões.
- FundamentosPropriedades das Substâncias
- Química CinéticaRepresentação das Transformações Químicas
- Química InorgânicaGeometria Molecular, Polaridade e Forças Intermoleculares
- Química OrgânicaCadeias Carbônicas
I- Devido à eletronegatividade de seus elementos, possui geometria angular. II- Sua base conjugada é o íon carboneto. III- Trata-se de um composto covalente. IV- Seu átomo de carbono tem hibridação sp3 . V- Possui ligação carbono-nitrogênio mais curta que aquela presente na metilamina.
Está correto o que se afirma em
Provas
- Química CinéticaTransformações Químicas
- Química InorgânicaSoluções e Substâncias InorgânicasSubstâncias Inorgânicas: dissociação iônica e ionização, conceitos de ácido-base
Das raízes da mandioca brava é obtido o caldo amarelado conhecido como tucupi. Em uma análise química do tucupi, além de carbono, hidrogênio, nitrogênio e oxigênio (elementos presentes em compostos orgânicos), foram encontrados também Ca, Cu, Fe, K, Mg, Mn, Na e Zn. Com base nesse conjunto de informações, responda a questão.
Provas
- FundamentosPropriedades das Substâncias
- Química InorgânicaGeometria Molecular, Polaridade e Forças Intermoleculares
Das raízes da mandioca brava é obtido o caldo amarelado conhecido como tucupi. Em uma análise química do tucupi, além de carbono, hidrogênio, nitrogênio e oxigênio (elementos presentes em compostos orgânicos), foram encontrados também Ca, Cu, Fe, K, Mg, Mn, Na e Zn. Com base nesse conjunto de informações, responda a questão.
Considerando as substâncias formadas pela ligação química de um átomo de carbono com i) 4 átomos de hidrogênio, ii) dois átomos de oxigênio e iii) um átomo de oxigênio e dois de hidrogênio, tem-se as afirmativas:
I- Uma das moléculas formadas apresenta geometria trigonal plana.
II- Uma delas possui ângulo de ligação igual a 104,5 °.
III- Todos são moléculas polares.
IV- Entre as forças intermoleculares presentes, não há, em nenhum caso, ligação de hidrogênio.
V- O composto formado por carbono e oxigênio deve apresentar o menor ponto de fusão entre os três.
Está correto o que se afirma em
Provas
- FundamentosPropriedades das Substâncias
- Química InorgânicaGeometria Molecular, Polaridade e Forças Intermoleculares
- Química InorgânicaSoluções e Substâncias InorgânicasSubstâncias Inorgânicas: dissociação iônica e ionização, conceitos de ácido-base
Das raízes da mandioca brava é obtido o caldo amarelado conhecido como tucupi. Em uma análise química do tucupi, além de carbono, hidrogênio, nitrogênio e oxigênio (elementos presentes em compostos orgânicos), foram encontrados também Ca, Cu, Fe, K, Mg, Mn, Na e Zn. Com base nesse conjunto de informações, responda a questão.
I – Aqueles com maior ponto de fusão são os óxidos de sódio e magnésio. II – O enxofre forma mais de um óxido. III – A ligação entre Mg e O é a que apresenta maior caráter iônico. IV – O dióxido de cloro (ClO2) apresenta fórmulas de Lewis com híbridos de ressonância.
Está correto o que se afirma em
Provas
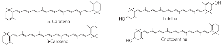
As fórmulas estruturais de alguns carotenoides importantes são apresentadas a seguir:

Sobre eles NÃO se pode afirmar que
Provas

Provas
- Química OrgânicaPropriedades Químicas dos Compostos Orgânicos
- Sistemas de EquilíbrioSistemas Homogêneos: Equilíbrio Químico na Água
Considere as substâncias a seguir.

Provas
- Química OrgânicaCadeias Carbônicas
- Química OrgânicaFunções Oxigenadas: Cetona, Aldeído, Éter, Éster, Ácido Carboxílico etc.
- Química OrgânicaPropriedades Físicas dos Compostos Orgânicos
Julgue as afirmativas a seguir, sobre a fórmula do eugenol.

I- Apresenta as funções álcool e éter.
II- Seu hidrogênio ionizável é aquele ligado diretamente ao átomo de oxigênio.
III- Possui fórmula molecular C10H12O2 .
IV- Há apenas forças de Van der Waals como forças intermoleculares.
V- Possui a função éster.
Está INCORRETO o que se afirma em
Provas
- Química CinéticaRepresentação das Transformações Químicas
- Química InorgânicaSoluções e Substâncias InorgânicasSoluções: características, tipos de concentração, diluição, mistura, titulação e soluções coloidais
Provas
- Química OrgânicaPropriedades Físicas dos Compostos Orgânicos
- Química OrgânicaPropriedades Químicas dos Compostos Orgânicos
Provas
Caderno Container