Foram encontradas 600 questões.
Provas
“Poema de sete faces” abre o primeiro livro publicado por Carlos Drummond de Andrade, Alguma poesia, de 1930. Considere a primeira e a penúltima estrofes, transcritas a seguir.
“Quando nasci, um anjo torto
Desses que vivem na sombra
Disse: Vai, Carlos! Ser gauche na vida.
Mundo mundo vasto mundo,
Se eu me chamasse Raimundo
Seria uma rima, não uma solução.
Mundo mundo vasto mundo,
mais vasto é meu coração.
(ANDRADE, Carlos Drummond de. Alguma poesia. In: – Carlos Drummond de Andrade. Poesia e prosa. Rio de Janeiro: Nova Aguilar, 1988, p.4)
Sobre as estrofes, é correto afirmar que
Provas
Provas
Na ficção modernista paraense destaca-se o autor Dalcídio Jurandir, que surge como romancista em 1941, com Chove nos campos de Cachoeira. Esse romance iniciou o ciclo do Extremo Norte, composto de 10 narrativas editadas entre 1941 e 1978.
Um projeto de letramento literário com alunos de ensino médio, abarcando o autor e sua obra, deve considerar que
Provas
Leia o texto crítico sobre o romance Memórias póstumas de Brás Cubas, de Machado de Assis.
“A formação acadêmica de Brás é uma evidente sátira aos filhos da classe dominante brasileira do XIX, que buscam as novidades teóricas e políticas na Europa, não para adotá-las em seu país de origem, mas para usá-las como instrumento de legitimação e preservação de poder político e prestígio pessoal.” (SCARPELLI, Marli Fantini. “Pai contra mãe” de Machado de Assis: a negativa das negativas. In: Via Atlântica. Universidade de São Paulo, n. º 6, 2003, p.122).
O comentário crítico pode ser ilustrado com a seguinte passagem de Machado de Assis:
Provas
Leia o trecho a seguir sobre a personagem José Dias, do romance Dom Casmurro, de Machado de Assis.
“Era nosso agregado desde muitos anos; meu pai ainda estava na antiga fazenda de Itaguaí, e eu acabava de nascer. Um dia apareceu ali vendendo-se por médico homeopata; levava um Manual e uma botica. Havia então um andaço de febres; José Dias curou o feitor e uma escrava, e não quis receber nenhuma remuneração. Então meu pai propôs-lhe ficar ali vivendo, com pequeno ordenado. José Dias recusou, dizendo que era justo levar a saúde à casa de sapé do pobre.” (ASSIS, 1979, p.15-16)
Sobre a passagem da obra, é correto afirmar que a figura do agregado, bastante presente na obra machadiana,
Provas

Provas
- UniãoExecutivoDecreto 1.171/1994: Código de Ética do Servidor Público Civil do Poder Executivo Federal
Provas
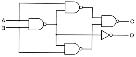
Considere o circuito digital abaixo.

É correto afirmar que
Provas
Provas
Caderno Container