Foram encontradas 962 questões.
Em rodovias, temos diversas caracterizações das curvas existentes, muitas delas de acordo com seus raios. Dos tipos de curvas que conhecemos, temos as curvas de transição. Ao se apresentar um projeto de curva de transição, os elementos usados para a determinação da curva de transição são os seguintes, exceto:
Provas

Em razão da escolha da citação do educador brasileiro Paulo Freire, pode-se inferir que há um “alerta” das autoras acerca da necessidade de que se evitem os autoritarismos (imposições) em relação ao ensino de língua no Brasil, com o objetivo de que a aprendizagem linguística não cause traumas ao educando, bem como não o afaste da língua “que é dele”. Uma obra de linguística brasileira que trabalha, por meio da sociolinguística, a relação do falante com os falares, de modo a ter como um dos principais objetivos demonstrar que não há apenas uma gramática, mas sim, “gramáticas” e que não pode haver estigmatização linguística é
Provas
O sinal de “VERDADE” na língua de sinais tem na sua composição morfológica um aspecto importante para sua formação. Estamos tratando de
Provas
Sobre a formação continuada, assinale a afirmativa correta.
Provas
- Planejamento na EducaçãoNíveis e tipos de planejamento
- Temas Educacionais PedagógicosInterdisciplinaridade
No que tange ao tema Planejamento e Interdisciplinaridade, analise as afirmativas a seguir:
I.Na interdisciplinaridade é fundamental a ideia de transformação da realidade. Isto quer dizer que uma instituição se transforma a si mesma tendo em vista influir na transformação da realidade global. A primeira coisa que nos vem à mente quando perguntamos sobre a importância da interdisciplinaridade é a eficiência. A interdisciplinaridade é um plano que ajuda a alcançar a eficiência. Isto é, elabora-se plano, implanta-se um processo de planejamento a fim de que seja bem feito aquilo que se faz dentro dos limites previstos para aquela execução.
II.O planejamento é uma ação educativa para elaboração de um orçamento, passando por relatórios extensos para assumir, nos dias atuais, uma característica especial: um macroplanejamento, em que todos os planos de desenvolvimento de um país se entrelaçam, num dinamismo contínuo e progressivo.
III.O planejamento vem constituir uma estratégia de trabalho que se caracteriza pela integração de todos os setores da atividade humana social, num processo global para a solução de problemas. O conhecimento da realidade para se puder planejar adequadamente a tarefa de ensino e atender às necessidades do aluno. É preciso, antes de tudo saber para quem se vai planejar por isso, conhecer o aluno e seu ambiente é a primeira etapa do processo de planejamento.
Assinale
Provas
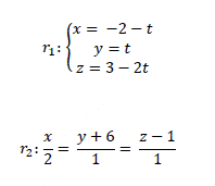
Calcule o ângulo entre as seguintes retas.

Provas
Observe a matriz
. Calcule os autovalores
associados da matriz A.
Provas
Com o auxílio da figura abaixo responda as questões 29 e 30.

Sabendo que um equipamento possui duas engrenagens em contato, onde a distância entre eixo delas é de 12 cm e que a engrenagem maior gira com uma rotação de 200 rpm e a menor com uma rotação de 800 rpm, qual o diâmetro primitivo da engrenagem menor.
Provas
Com o auxílio do diagrama de fases abaixo, responda as questões 26, 27 e 28.

Análise as afirmações abaixo:
I. Um aço com 0,8 % de C, resfriado a partir de 1200 °C em uma condição similar à do equilíbrio, apresentará as seguintes fases na temperatura ambiente: ferrita proeutetóide e perlita.
II. Um aço com composição química correspondente com a liga eutetoide, após sofrer um resfriamento similar as condições de equilíbrio a partir da região autenítica, irá apresentar na temperatura ambiente a fase perlita.
III. A reação peritética desse diagrama corresponde ao ponto onde a composição química de carbono é igual a 2,14 %.
Esse diagrama apresenta pontos de reações eutetóide, eutética e peritética.
Provas
Considere o diagrama unifilar da figura a seguir, sabendo que o transformador T3 opera na sua tensão nominal no secundário. O valor da magnitude da corrente da carga, aproximadamente, é:

Provas
Caderno Container